ORIGINAL
Adhesive resistance to shear forces of metal brackets using different adhesive cements. In vitro study. Lima, Peru, 2021
Resistencia adhesiva frente a fuerzas de cizallamiento de los brackets metálicos empleando diferentes cementos adhesivos. Estudio in vitro. Lima, Perú, 2021
Darwin
Newton Yanac Calero1, Ann Rosemary Chanamé Marín1 ![]()
1Universidad Privada Norbert Wiener, Facultad de Ciencias de la Salud, Odontología. Lima. Perú.
Cite as: Yanac Calero DN, Chanamé Marín AR. Adhesive resistance to shear forces of metal brackets using different adhesive cements. In vitro study. Lima, Peru, 2021. eVitroKhem. 2022; 1:30. https://doi.org/10.56294/evk202230
Submitted: 04-09-2021 Revised: 22-12-2021 Accepted: 12-06-2022 Published: 13-09-2022
Editor: Prof.
Dr. Javier Gonzalez-Argote ![]()
ABSTRACT
One of the challenges of orthodontic treatment with braces is the installation and permanence of the fixed orthodontic appliances during the time that the orthodontic treatment entails. For this reason, it was possible to determine the adhesive resistance against shear forces of the metal brackets using different adhesive cements. The research was experimental, cross-sectional, prospective and comparative, where two types of cements were used: orthocem and heliosit, adhering to 20 teeth with their brackets. Subsequently, the mechanical laboratory procedure was carried out, using the universal testing machine that advanced vertically at 1 mm / min of speed until the brackets were detached from the tooth, the data of said action recorded. With the data obtained, it was possible to obtain the adhesive resistance against shear forces of the metal brackets using the Orthocem adhesive cement was 2,592 ± 1,28 megapascals, and for the Heliosit adhesive cement it was 2,437 ± 0,80 megapascals. Concluding that the adhesive cement Orthocem and Heliosit present a similar adhesive resistance, not finding a statistically significant difference (p> 0,05) against the shear forces.
Keywords: Dental Bonding; Orthodontics; Mastication.
RESUMEN
Uno de los desafíos del tratamiento ortodónticos con brackets es la instalación y permanencia de la aparatología ortodóntica fija durante el tiempo que conlleva el tratamiento ortodóntico. Por ello, se logró determinar la resistencia adhesiva frente a fuerzas de cizallamiento de los brackets metálicos empleando diferentes cementos adhesivos. La investigación fue experimental, transversal, prospectivo y comparativo, donde se empleó dos tipos de cementos: orthocem y heliosit, adhiriendo a 20 piezas dentales con sus brackets. Posteriormente se realizó el procedimiento mecánico de laboratorio, empleando la máquina de ensayos universales que avanzó verticalmente a 1 mm/min de velocidad hasta desprender los brackets del diente, registrado los datos de dicha acción. Con los datos obtenidos se logró obtener la resistencia adhesiva frente a fuerzas de cizallamiento de los brackets metálicos empleando el cemento adhesivo Orthocem fue de 2,592 ± 1,28 megapascales, y para el cemento adhesivo Heliosit fue de 2,437 ± 0,80 megapascales. Concluyendo que el cemento adhesivo Orthocem y Heliosit presentan una resistencia adhesiva similar, no encontrándose diferencia estadísticamente significativa (p>0,05) frente a las fuerzas de cizallamiento.
Palabras clave: Adhesión Dental; Ortodoncia; Masticación.
INTRODUCTION
The bond strength present in dental brackets symbolizes a major challenge in the installation of orthodontic devices. Reliable adhesion between fixed appliances and tooth surfaces is a key factor for the clinical success of any orthodontic treatment. The literature is unanimous in stating that loosening or detachment of orthodontic brackets is due to failures in the fixed appliance bonding process, due to poor retention of certain bracket bases or due to the action of masticatory forces. These failures can undermine the treatment, delay the expected results and reduce patient satisfaction. The cementitious material used should present an adhesive strength capable of withstanding the forces generated by mastication, as well as those generated by the orthodontic treatment itself, and facilitate adequate time for manipulation by the dentist.(1,2,3,4,5,6)
The formulation of the problem addressed in this research was: Is there a difference in the adhesive strength against shear forces of metal brackets using different adhesive cements? In vitro study in Lima - Peru 2021. Therefore, the general objective was to determine the difference in the adhesive strength against shear forces of metallic brackets using different adhesive cements, in vitro study. Lima - Peru 2021. The latter was broken down into 3 specific objectives that helped to determine more precisely the general objective, with the help of tables and graphs that are shown in the results section of this study. Also, ending with the conclusions reached at the end of this research, which are reflected in this thesis for further scientific contribution.
Is there a difference in the adhesive strength against shear forces of metal brackets using different adhesive cements, in vitro study in Lima - Peru 2021?
General objective
To determine the difference in the adhesive strength against shear forces of metallic brackets using different adhesive cements, in vitro study. Lima - Peru 2021.
The present research allows updating the existing information on the importance of adhesion and resistance to detachment of brackets and the problems related to their decementation.
For the evaluation of the variable detachment, the shear method applied by the universal testing machine was used, which has demonstrated its effectiveness to be used in other research works, being possible to replicate the methodology.
By knowing the type of resinous cement that offers better adhesive qualities, the professional will have greater confidence in choosing the type of cement to be used and thus the treatment planning can continue without alterations during the process. In addition, the patient will not have to return due to problems of bracket detachment, thus avoiding prolonging the treatment, the monthly cost involved, as well as the times of exposure to the office for bracket adhesion.
The study was carried out from August 2020 to November 2021, having many inconveniences for the execution of this research, due to the current situation of the COVID-19 pandemic, as well as the imports of the materials to our country, the same that were acquired in renowned dental companies.
The study was carried out in Peru, in the city of Lima, specifically in the facilities of the HTL laboratory, a laboratory specialized in mechanical testing of materials. However, it was impossible to enter the facilities of this company due to the measures acquired by the company to cope with the COVID-19 pandemic, being the same engineers of the establishment the ones who had to perform part of the procedure instead of the researcher.
The materials and the cost of the entire thesis for the realization of this study were covered by the researcher of the study.
METHOD
Research method: The present study was of the hypothetical deductive type, since hypotheses were posed and then tested.
Research approach: It was quantitative.
Type of research: The present study was of applied type, since it focuses on solving a specific approach, focusing on the search and consolidation of knowledge for its application and, therefore, for the enrichment of cultural and scientific development.
Research design: The present study was experimental, cross-sectional, prospective and comparative.
Population and sample
· Population: Morelli brand metal brackets cemented on Nissin type artificial teeth.
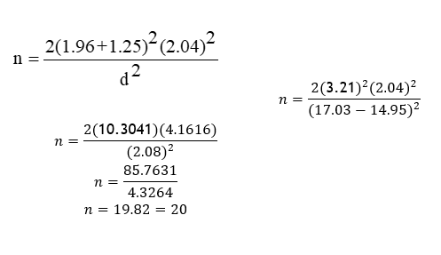
· Sample: The sample was the result of the following sample calculation, based on previous antecedents:

Where
n= Necessary elements in each of the samples.
Zα= Confidence level 95 % (1,96).
Zβ= statistical power 90 % (1,25).
d= Difference of means (2,57).
S= Standard deviation.

Therefore, a minimum sample of 20 metal brackets was required for each type of cement, i.e. 2 cements (Orthocem or Heliosit) will be used, so a total of 40 bonded artificial teeth with their respective brackets will be used.
Sampling: The sampling used was non-probabilistic by convenience, selecting two of the best known brands of adhesive cements used in the national dental market.
Selection criteria: Inclusion criteria were used: metallic brackets cemented to artificial teeth of the Nissin brand, using Orthocem or Heliosit orthodontic cements, these brackets were cemented and covered over their entire base. Likewise, artificial teeth where it was suspected that the cement had not covered the entire base of the brackets when adhered and artificial teeth that presented fracture or structural damage were excluded.
Variables and operationalization
|
Table 1. Variables and operationalization |
|||||
|
Variables |
Operational Definition |
Dimension |
Indicators |
Measurement scale |
Rating scale |
|
Adhesive strength of metal brackets |
Ability of metal brackets to be bonded to the tooth surface by means of a cementing agent. |
Adhesive strength to shear forces |
Strength of the material up to the point of separation |
Ratio |
0 - 10 MPa. |
|
Adhesive cements |
Agent exhibiting adhesive properties, this may be to any or many materials or surfaces. |
Adhesive cements used in orthodontics |
Material for cementing brackets |
Nominal |
Orthocem. Heliosit. |
Data collection techniques and instruments
Technique
The technique used to collect the data was the in vitro experimental technique. For this, a whole process was carried out that consisted initially of obtaining a dental model of Nissin teeth, which was obtained from the dental company Pareja Lecaros, located on Avenida Emancipación, in the center of Lima. Nissin teeth were installed in it, which simulate dental pieces (ivory material), so the adhesion of the brackets was as similar as possible to natural teeth. Also, the adhesive cements (Orthocem and Heliosit) and the metallic brackets that were used to cement the brackets to the artificial Nissin teeth were obtained from the dental galleries located on Emancipación Avenue. These brackets were of the Morelli Roth Max Slot 0,022 brand.
Once the model was obtained, the Nissin artificial teeth were placed according to the manufacturer’s instructions, installing tooth by tooth and screwing it to the model, until the installation of the artificial teeth of both arches was completed. Subsequently, the artificial teeth were divided into two groups.
· Group I (upper jaw artificial teeth): The metal brackets were bonded using orthocem adhesive cement.
· Group II (lower jaw artificial teeth): Metal brackets were bonded using heliosit adhesive cement.
Once all the materials were ready, a specialist in orthodontics and maxillary orthopedics, CD. Pammela Castañeda Cornejo (COP 21723 / RNE 622), was asked to cement the brackets on the Nissin type artificial teeth, these brackets were cemented using the following positioning scale:
|
Table 2. Positioning scale |
||||
|
ICS |
ILS |
CS / CI |
PMS / PMI |
ICI / ILI |
|
5 |
4,5 |
5 |
5 |
4 |
For this procedure, the specialist began by irrigating the teeth with abundant water and drying them with air from the triple syringe for a period of 10 seconds. Next, an adhesive cement (Orthocem / Heliosit) was placed on the base of the brackets and was taken to the vestibular side of the artificial teeth using a bracket holder (Morelli) and was positioned with a pencil-type bracket positioner (Morelli), Then, the remains of cement were removed with the help of a microbrush and it was polymerized with an Elipar TM Deep Cure - L LED lamp (3M Espe) at a light intensity of 1470 nW/cm2 for a period of 5 seconds on each side of the brackets (mesial, distal, upper and lower), thus finishing the bracket bonding process and delivering a certificate to the interested researcher.
Once the brackets were attached to the Nissin artificial teeth, they were removed from the model, unscrewing it from the model, leaving only the loose teeth with the brackets cemented on them. Subsequently, the upper teeth were separated and labeled, identifying that they were cemented with Orthocem adhesive cement. The lower teeth were labeled as having been cemented with Heliosit adhesive cement.
With the groups identified and labeled, we proceeded to make an acrylic base for each artificial dental piece, this had a base that allowed the tooth to remain in a vertical position, this base was formed with the help of a circular plastic mold (15 mm portions of 1 1/2” water tubes), This base was formed with the help of a circular plastic mold (15 mm portions of 1 1/2” water tubes), to which a small amount of freshly prepared fast thermocuring acrylic was poured (1 gram of acrylic per 1 milliliter of monomer), then the tooth was placed in a vertical position, the root part being submerged in the acrylic and leaving the entire coronal part of the tooth exposed, thus obtaining a tooth with a stable base. This procedure was repeated for all the teeth. Once the teeth were finished with their acrylic bases and labeled, they were delivered to the mechanical testing laboratory “HTL” who were in charge of the mechanical procedure and recorded the whole process by means of photography. Due to the COVID-19 pandemic, the entrance of personnel from outside the company is prohibited.
The procedure performed by the mechanical testing laboratory was to individually place each dental piece on the universal testing machine. This machine, which has a metal shank with a bevel end at 30º, advanced vertically from top to bottom at a feed rate of 1 mm/min, contacting the shank of the equipment with the upper part of the brackets adhered to the tooth surface, which continued its advance until the brackets were detached from the tooth, recorded the force required in megapascals to perform such action, these data were recorded in a computerized manner in the electronic equipment of the laboratory, which then provided the company to be transcribed in the data collection form and subsequently analyzed by the statistician.
Description of instruments
The data sheet used was elaborated for the present investigation and in which the values in Megapascals, of the adhesion strength of the different adhesive cements obtained in the in vitro test were noted.
Validation
Validity was given by means of judgment of three (03) experts, carried out by teachers of the Norbert Wiener Private University.
Reliability
Reliability was given by the result obtained by the SPSS 23 program, being used the Cronbach’s alpha test for this purpose.
Data processing and analysis plan
The SPSS v.23 program was used for data analysis, using the Student’s t-test for independent samples. In addition, the Excel program was used for the elaboration of graphs.
Ethical aspects
The present project followed the norms established by the Peruvian government regarding non-exposure and agglomeration due to the COVID 19 pandemic.
As an institutional axis, this research was being evaluated by the turnitin program, during all its process, and whose evaluation proves its similarity index lower than the one allowed by the university.
RESULTS
|
Table 3. Adhesive strength against shear forces of metallic brackets using orthocem adhesive cement |
||||
|
# |
Adhesive strength |
|
# |
Adhesive strength |
|
1 |
0,81 |
|
11 |
2,54 |
|
2 |
1,16 |
|
12 |
1,93 |
|
3 |
1,43 |
|
13 |
3,29 |
|
4 |
3,39 |
|
14 |
1,15 |
|
5 |
2,86 |
|
15 |
4,95 |
|
6 |
5,05 |
|
16 |
1,59 |
|
7 |
3,12 |
|
17 |
2,96 |
|
8 |
3,46 |
|
18 |
0,81 |
|
9 |
1,95 |
|
19 |
3,22 |
|
10 |
2,69 |
|
20 |
3,48 |
|
Adhesive Cement |
N |
Mean |
Standard deviation |
Adhesive Cement |
|
Orthocem |
20 |
2,592 |
1,28 |
Orthocem |
Table 3 shows that the adhesive strength against shear forces of the metallic brackets using Orthocem adhesive cement was 2,592 ± 1,28 megapascals.

Figure 1. Adhesive strength against shear forces of metallic brackets using Orthocem adhesive cement
|
Table 4. Adhesive strength against shear forces of metallic brackets using heliosit adhesive cement. |
||||
|
# |
Adhesive strength |
|
# |
Adhesive strength |
|
1 |
2,23 |
|
11 |
1,57 |
|
2 |
1,27 |
|
12 |
3,07 |
|
3 |
3,22 |
|
13 |
2,99 |
|
4 |
3,77 |
|
14 |
2,35 |
|
5 |
2,66 |
|
15 |
2,06 |
|
6 |
3,09 |
|
16 |
3,2 |
|
7 |
1,42 |
|
17 |
3,65 |
|
8 |
2,01 |
|
18 |
2,68 |
|
9 |
2,77 |
|
19 |
2,72 |
|
10 |
1,93 |
|
20 |
2,03 |
|
Adhesive Cement |
N |
Mean |
Standard deviation |
Adhesive Cement |
|
Heliosit |
20 |
2,437 |
0,80 |
Heliosit |
Table 4 shows that the adhesive strength against shear forces of the metallic brackets using heliosit adhesive cement was 2,437 ± 0,80 megapascals.

Figure 2. Adhesive strength against shear forces of metallic brackets using heliosit adhesive cement
|
Table 5. Adhesive strength against shear forces of metallic brackets using orthocem adhesive cement compared to Heliosit cement |
|||
|
Adhesive Cement |
N |
Mean |
Standard deviation |
|
Orthocem |
20 |
2,592 |
1,28 |
|
Heliosit |
20 |
2,437 |
0,80 |
Hypothesis testing
· Hi: There is a difference in the adhesive strength against shear forces of metal brackets using different adhesive cements.
· Ho: There is no difference in the adhesive strength against shear forces of metal brackets using different adhesive cements.
Student’s t: P=0,211>0,05.
As P>0,05 the null hypothesis is accepted.
· Ho: There is no difference in the adhesive strength against shear forces of metal brackets using different adhesive cements.
Table 5 shows that the adhesive strength against shear forces of the metallic brackets using Orthocem adhesive cement was 2,592 ± 1,28 megapascals. While using Heliosit adhesive cement it was 2,437 ± 0,80 megapascals.

Figure 3. Adhesive strength against shear forces of metallic brackets using orthocem adhesive cement compared to Heliosit cement
DISCUSSION
The objective of this study was to determine the adhesive strength against shear forces of metallic brackets using different adhesive cements. Orthocem and Heliosit adhesive cements were used for this purpose.
The results showed that Orthocem adhesive cement produced an adhesive strength of 2,592 ± 1,28 megapascals against shear forces induced in teeth with metal brackets. Which agrees with the results found by Huaita J.(7), who mentions that Orthocem adhesive cement produced a bond strength of 5,074 ± 1,549 megapascals against shear forces. On the other hand, this study disagrees with that mentioned by Garcia M, Vicente A, Bravo L.(8) who mention that the adhesive strength of resinous cements in metal brackets is 13,19 ± 5,87 megapascals. Results that differ from this study, because those authors used transbond plus adhesive cement, while in this research Orthocem adhesive cement was used.(9,10,11,12,13,14)
On the other hand, this study also disagrees with the results found in the research conducted by Aguilar V.(15) who mentions that Orthocem adhesive cement generated an adhesive strength of 17,42 ± 10,67 megapascals against shear forces in metal brackets.(16,17,18,19) These differences are possible because that author conducted his study using human premolar teeth, while in this investigation synthetic Nissin-type teeth were used. Likewise, this research is in contrast to the results exposed by Calvo F. et al.(20) who mentioned that the resistance to adhesion of metallic tubes was 31,97 Megapascals. Owing the differences in results possibly to the fact that in the latter study it was decided to measure the adhesive strength using metallic tubes instead of metallic brackets.(21,22,23,24)
On the other hand, this research showed that Heliosit adhesive cement produced an adhesive strength of 2,437 ± 0,80 megapascals against shear forces induced in teeth with metal brackets. Which agrees with the results found by Huaita J.(7), who mentions that Heliosit adhesive cement produced a bond strength of 6,254 ± 1,619 megapascals against shear forces. On the contrary, this study disagrees with that mentioned by Spaccesi M.(9) who mentions that adhesion to metal brackets achieved a peel strength of 18,51 ± 4,07 megapascals. Data that differ with those of this research, possibly because that author employed a 15-second acid etch and human premolar teeth. While in this research no etching agent was used, nor natural teeth, but artificial Nissin teeth.(25,26,27,28,29)
Likewise, this study disagrees with Herrera R.(30) who mentions that the adhesion of metal brackets on natural teeth is 2,46 ± 1,33 megapascals against tensile forces. Results that differ from this research because the latter author used natural teeth and tensile force. Whereas in this study, Nissin artificial teeth were used and bracket adhesion was measured against shear forces. Finally, this study disagrees with the results presented by Cruz M.(31) who mentions that the adhesive strength of resin cements in metal brackets are 22,77 ± 2,90 megapascals. Results that differ from this study, because those authors used transbond XT adhesive cement, while in this research Heliosit adhesive cement was used.(32,33,34)
Finally, this study shows that there is no statistically significant difference (p=0,211) between the adhesive strength of Orthocem adhesive cement and Heliosit cement against shear forces of metal brackets. The strength of both resin cements was 2,592 ± 1,28 and 2,437 ± 0,80 megapascals. These data are corroborated by Huaita J.(7) who mentions that there is no statistically significant difference between the adhesive strength of Orthocem and Heliosit adhesive cements.(35,36)
CONCLUSIONS
Orthocem adhesive cement presents an adhesive strength of 2,592 ± 1,28 megapascals against shear forces.
The heliosit adhesive cement presents an adhesive strength of 2437 ± 0,80 megapascals against shear forces.
The orthocem and hHeliosit adhesive cement presented similar adhesive strength and no statistically significant difference (p>0,05) was found against shear forces.
RECOMMENDATIONS
It is recommended to carry out different studies on the adhesive strength of brackets against tensile and shear forces.
It is recommended to carry out studies of adhesive strength of metal brackets compared to esthetic brackets.
Adhesive strength studies of brackets with different types of retentive meshes are recommended.
It is recommended to carry out studies on the adhesive strength of brackets with adhesive cements incorporating other commercial brands in Peru.
REFERENCES
1. Rodrigues M, Alves E, Fernandez E, Kuga M, Ferrarezi M, Coelho M. Bond strength and adhesive remnant index of experimental brackets bonded with self-adhesive resin cement. Rev. Clin. Periodoncia Implantol. Rehabil. Oral Vol. 2017; 10(2):115-117.
2. Aguilar R. Efecto de la desproteinización adamantina con hipoclorito de sodio al 5 % en la calidad de la adhesión de los brackets ortodónticos evaluados mediante un sistema de fuerza de cizallamiento. [Tesis para optar el título de especialista en ortodoncia y ortopedia maxilar]. Lima: Universidad Inca Garcilaso de la Vega; 2017.
3. Adrianzen B. Comparación in vitro de la resistencia adhesiva de los brackets cementados con rely a bond® y orthocem® en dientes bovinos clareados con peróxido de hidrógeno al 35 % en diferentes intervalos de tiempo. [Tesis para optar el título de especialista en Ortodoncia]. Lima: Universidad Peruana de Ciencias Aplicadas; 2017.
4. Carrillo I. Comparación de la resistencia al descementado de brackets metálicos adheridos con una resina fluida, una bioresina y una resina convencional. [Tesis para optar el título de especialista en Ortodoncia]. Toluca: Universidad Autónoma del Estado de México; 2017.
5. Robaski A, Pamato S, De Oliveira M, Pereira J. Effect of saliva contamination on cementation of orthodontic brackets using different adhesive systems. J Clin Exp Dent. 2017;9(7):919-924.
6. Cruz M. Resistencia al cizallamiento in vitro de dos tipos de brackets y su efecto sobre el esmalte dental. Lima- Perú. 2014-2015. [Tesis para optar el Grado Académico de Magister en Docencia e Investigación en Salud]. Lima: Universidad Nacional Mayor de San Marcos; 2019.
7. Huaita J. Comparación de la fuerza de adhesión de tres cementos para ortodoncia en esmalte humano. [Tesis para optar el título de Cirujano Dentista]. Lima: Universidad Nacional Federico Villarreal; 2018.
8. García M, Vicente A, Bravo L. Evaluación de la fuerza adhesiva de brackets con bases de diferentes diseños. Ortod. Esp. 2016; 54 (2):27-32.
9. Spaccesi M. Análisis de la adhesión a esmalte de brackets metálicos cementados con resina de fotocurado, utilizando diferentes técnicas de acondicionamiento e imprimación. [Tesis para optar el título de Doctor en Odontología]. Córdoba: Universidad Nacional de Córdoba; 2017.
10. Camargo Y, Oliveros J. Comparación de la resistencia a la descementación de brackets mediante el acondicionamiento de la superficie del esmalte dental con hipoclorito de sodio. [Tesis para optar el título de especialista en Ortodoncia]. Cartagena: Universidad de Cartagena; 2018.
11. Serrano P. Estudio in vitro con microscopio electrónico de la interfase esmalte dental - adhesivo utilizando resina transbond xt combinado con hipoclorito de sodio y clorhexidina como agentes eliminadores de placa bacteriana previo al protocolo de cementación de brackets. [Tesis para optar el título de especialista en Ortodoncia]. Quito: Universidad San Francisco de Quito; 2015.
12. Fraga E. Incremento de la resistencia al cizallamiento en ortodoncia utilizando hipoclorito de sodio al 2,5 % y al 5,25 % previo a la adhesión. [Tesis para optar el título de especialista en ortodoncia]. Querétaro: Universidad Autónoma de Querétaro; 2018.
13. Chumacero M. Resistencia al cizallamiento de brackets utilizando dos sistemas adhesivos. Lima- Perú 2021. [Tesis para optar segunda especialidad en Ortodoncia y ortopedia maxilofacial]. Lima: Centro Odontológico de la Universidad Privada San Martin de Porres; 2021.
14. Erazo M. Resistencia al desprendimiento de brackets mediante fuerzas de cizallamiento, en el esmalte dental previamente desproteinizado. estudio in vitro en la facultad de odontología de la universidad central del ecuador. [Tesis para optar el título de odontología]. Quito: Universidad Central del Ecuador; 2017.
15. Aguilar V. Estudio in vitro de la resistencia al cizallamiento de sistemas de adhesión no tradicionales usados en el cementado de brackets ortodóncicos, Arequipa. [Tesis para optar el título de Doctor en Ciencias de la Salud]. Arequipa: Universidad Nacional de San Agustín; 2017.
16. Mandril M, Lezcano M, Navarro J, Zamudio M. Estudio comparativo in vitro de la fuerza de adhesión a la superficie dental de brackets metálicos y cerámicos utilizando un cemento a base de resina, con diferentes sistemas de fotopolimerización y espesores de material. Acta odontológica venezolana. 2018; 56(2):11-12.
17. Turpo F. Retiro de brackets. [Tesis para optar el título de especialista en Ortodoncia]. Tacna: Universidad Privada de Tacna; 2016.
18. Viteri D. Comparación in vitro de la fuerza de adhesión de brackets de porcelana reacondicionados vs brackets nuevos. [Tesis para optar el título de Cirujano Dentista]. Quito: Universidad Central del Ecuador; 2017.
19. Nawrocka A, Lukomska M. The Indirect Bonding Technique in Orthodontics. A Narrative Literature Review. Materials. 2020;13(1):1-8.
20. Calvo F, Murayama N, Justus R, Ondarza R, Garcia S. Estudio comparativo de la resistencia al desprendimiento de tubos adheridos a una superficie de resina obturada sobre la superficie bucal de los molares con la resina Empress Direct y con la resina Transbond XT: un estudio ex vivo. Revista Mexicana de Ortodoncia. 2017; 5(3):140-147.
21. Vargas H, Miranda E, Lazo L, Cosio H. Comparación in vitro de la Resistencia adhesiva de los sistemas adhesivos grabado y enjuague y autograbado. Odontología Vital. 2019; 30(1):45-50.
22. Fernandes J, De Freitas L, De Freitas V, De Faria P, Sousa A, Gade C, Tavares C. Shear Bond Strength and Adhesive Remnant of Three Protocols used for Bonding Orthodontic Brackets. Brazilian Research in Pediatric Dentistry and Integrated Clinic. 2016;16(1):433-440.
23. Carrillo M. Michael G. Buonocore, padre de la odontología adhesiva moderna, 63 años del desarrollo de la técnica del grabado del esmalte (1955-2018). Revista ADM. 2018; 75(3):135-142.
24. Chacón J, Del Rosario N, Zamudio M. Adhesión posclareamiento y el efecto de la aplicación de antioxidantes. RAAO. 2018; 59(2):21-25.
25. Gutiérrez M, Sánchez T, López A. Frecuencia de aparatos utilizados en tratamientos de ortodoncia interceptiva. Rev. Cient. Odontol. 2016; 12(2):8-14.
26. Martínez Z, Quintero L, Flores A, Ortiz J, Sandoval Z, Torres P. Comparación de resistencia al cizallamiento y carga máxima en tres sistemas adhesivos adheridos al esmalte. RODYB. 2017; 5(1):25-25.
27. Rodríguez A, Pereyra A, Zamudio M, Álvarez M, Christiani J. Estudio In Vitro de la resistencia al cizallamiento de una resina reforzada según el tratamiento del sustrato. Revista facultad de odontología. 2016; 9(1):7-12.
28. Grunheid T, Larson B. Comparative assessment of bracket survival and adhesive removal time using flash-free or conventional adhesive for orthodontic bracket bonding: A split-mouth randomized controlled clinical trial. Angle Orthodontist. 2018; 89(2):299-305.
29. García V. Estudio de la fuerza de adhesión de brackets metálicos y cerámicos sobre superficies de zircona tratadas con láser de femtosegundos. [Tesis para optar el grado de Doctor en odontología]. Valencia: Universidad de Valencia; 2018.
30. Herrera R. Estudio comparativo in vitro de resistencia a la tracción entre una resina fotopolimerizable y una autopolimerizable en adhesión de brackets metálicos. [Tesis para optar el título de Odontólogo]. Quito: Universidad de las Américas; 2016.
31. Cruz A, Delgado E. Experimental study of brackets adhesion with a novel enamel-protective material compared with conventional etching. Saudi Dental Journal. 2019; 10(1):1-7.
32. Macedo N, Melo J, Cabral V, Bottino M, Villaca L. Evaluación de la resistencia de unión de brackets ortodónticos fijados a cerámica de disilicato de litio. Int. J. Odontostomat. 2019;13(2):207-218.
33. Rojas V, Gomez M, Sampaio C, Saez M, Oyonarte R. Análisis comparativo in vitro de la resistencia adhesiva al cizallamiento de brackets metálicos adheridos a superficies dentarias tratadas con diferentes agentes blanqueadores. Int. J. Inter. Dent. 2021;14(1):17-21.
34. Bendezu B. Resistencia de adhesión al desprendimiento de brackets ortodónticos de la superficie del esmalte por tiempos de polimerización. [Tesis para optar el título de especialista en ortodoncia y ortopedia maxilar]. Huancayo: Universidad Continental; 2020.
35. Sabando N. Técnicas de adhesión en ortodoncia convencional y lingual. [Tesis para optar el título de cirujano dentista]. Guayaquil: Universidad de Guayaquil; 2021.
36. Pereyra L. Diferencias de la fuerza de adhesión de brackets al esmalte dental mediante el uso de tres agentes adhesivos, Chachapoyas – 2018. [Tesis para optar el título de cirujano dentista]. Chachapoyas: Universidad Nacional Toribio Rodríguez de Mendoza de Amazonas; 2019.
FUNDING
“None.”
CONFLICT OF INTEREST
“None.”
AUTHORSHIP CONTRIBUTION
Conceptualization: Darwin Newton Yanac Calero, Ann Rosemary Chanamé Marín.
Data curation: Darwin Newton Yanac Calero, Ann Rosemary Chanamé Marín.
Formal analysis: Darwin Newton Yanac Calero, Ann Rosemary Chanamé Marín.
Research: Darwin Newton Yanac Calero, Ann Rosemary Chanamé Marín.
Methodology: Darwin Newton Yanac Calero, Ann Rosemary Chanamé Marín.
Project Management: Darwin Newton Yanac Calero, Ann Rosemary Chanamé Marín.
Resources: Darwin Newton Yanac Calero, Ann Rosemary Chanamé Marín.
Software: Darwin Newton Yanac Calero, Ann Rosemary Chanamé Marín.
Supervision: Darwin Newton Yanac Calero, Ann Rosemary Chanamé Marín.
Validation: Darwin Newton Yanac Calero, Ann Rosemary Chanamé Marín.
Visualization: Darwin Newton Yanac Calero, Ann Rosemary Chanamé Marín.
Writing - original draft: Darwin Newton Yanac Calero, Ann Rosemary Chanamé Marín.
Writing - proofreading and editing: Darwin Newton Yanac Calero, Ann Rosemary Chanamé Marín.