ORIGINAL
Adhesive resistance to shear forces of metal brackets using different adhesive cements. In vitro study. Lima, Peru, 2021
Resistencia adhesiva frente a fuerzas de cizallamiento de los brackets metálicos empleando diferentes cementos adhesivos. Estudio in vitro. Lima, Perú, 2021
Darwin
Newton Yanac Calero1, Ann Rosemary Chanamé Marín1 ![]()
1Universidad Privada Norbert Wiener, Facultad de Ciencias de la Salud, Odontología. Lima. Perú.
Citar como: Yanac Calero DN, Chanamé Marín AR. Adhesive resistance to shear forces of metal brackets using different adhesive cements. In vitro study. Lima, Peru, 2021. eVitroKhem. 2022; 1:30. https://doi.org/10.56294/evk202230
Enviado: 04-09-2021 Revisado: 22-12-2021 Aceptado: 12-06-2022 Publicado: 13-09-2022
Editor: Prof.
Dr. Javier Gonzalez-Argote ![]()
ABSTRACT
One of the challenges of orthodontic treatment with braces is the installation and permanence of the fixed orthodontic appliances during the time that the orthodontic treatment entails. For this reason, it was possible to determine the adhesive resistance against shear forces of the metal brackets using different adhesive cements. The research was experimental, cross-sectional, prospective and comparative, where two types of cements were used: orthocem and heliosit, adhering to 20 teeth with their brackets. Subsequently, the mechanical laboratory procedure was carried out, using the universal testing machine that advanced vertically at 1 mm / min of speed until the brackets were detached from the tooth, the data of said action recorded. With the data obtained, it was possible to obtain the adhesive resistance against shear forces of the metal brackets using the Orthocem adhesive cement was 2,592 ± 1,28 megapascals, and for the Heliosit adhesive cement it was 2,437 ± 0,80 megapascals. Concluding that the adhesive cement Orthocem and Heliosit present a similar adhesive resistance, not finding a statistically significant difference (p> 0,05) against the shear forces.
Keywords: Dental Bonding; Orthodontics; Mastication.
RESUMEN
Uno de los desafíos del tratamiento ortodónticos con brackets es la instalación y permanencia de la aparatología ortodóntica fija durante el tiempo que conlleva el tratamiento ortodóntico. Por ello, se logró determinar la resistencia adhesiva frente a fuerzas de cizallamiento de los brackets metálicos empleando diferentes cementos adhesivos. La investigación fue experimental, transversal, prospectivo y comparativo, donde se empleó dos tipos de cementos: orthocem y heliosit, adhiriendo a 20 piezas dentales con sus brackets. Posteriormente se realizó el procedimiento mecánico de laboratorio, empleando la máquina de ensayos universales que avanzó verticalmente a 1 mm/min de velocidad hasta desprender los brackets del diente, registrado los datos de dicha acción. Con los datos obtenidos se logró obtener la resistencia adhesiva frente a fuerzas de cizallamiento de los brackets metálicos empleando el cemento adhesivo Orthocem fue de 2,592 ± 1,28 megapascales, y para el cemento adhesivo Heliosit fue de 2,437 ± 0,80 megapascales. Concluyendo que el cemento adhesivo Orthocem y Heliosit presentan una resistencia adhesiva similar, no encontrándose diferencia estadísticamente significativa (p>0,05) frente a las fuerzas de cizallamiento.
Palabras clave: Adhesión Dental; Ortodoncia; Masticación.
INTRODUCCIÓN
La fuerza de adhesión presente en los brackets dentales simboliza un desafío importante en la instalación de dispositivos de ortodoncia. Una adhesión confiable entre los dispositivos fijos y las superficies dentales es un factor clave para el éxito clínico de cualquier tratamiento de ortodoncia. La literatura es unánime al afirmar que el aflojamiento o desprendimiento de los brackets de ortodoncia se debe a fallas en el proceso de cementación de la aparatología fija, debido a la poca retención de ciertas bases de brackets o por la acción de fuerzas masticatorias. Estos fracasos pueden socavar el tratamiento, retrasar los resultados esperados y reducir la satisfacción del paciente. El material cementante empleado debe presentar una resistencia adhesiva capaz de aguantar las fuerzas generadas por la masticación, así también, generadas por el mismo tratamiento de ortodoncia y, facilitar el tiempo adecuado de manipulación por parte del odontólogo.(1,2,3,4,5,6)
En esta investigación se abordó como formulación del problema ¿Existe diferencia en la resistencia adhesiva frente a fuerzas de cizallamiento de los brackets metálicos empleando diferentes cementos adhesivos? estudio in vitro en Lima – Perú 2021. Por ende, el objetivo general fue determinar la diferencia en la resistencia adhesiva frente a fuerzas de cizallamiento de los brackets metálicos empleando diferentes cementos adhesivos, estudio in vitro. Lima – Perú 2021. Siendo desglosado de este ultimo, 3 objetivos específicos que ayudaron a determinar con mayor precisión el objetivo general planteado, esto con ayuda de tablas y gráficos que se muestran en la sección de resultados de este estudio. Así también, terminando con las conclusiones que se llegaron al finalizar dicha investigación, mismos que quedan plasmados en esta tesis para su posterior aporte científico.
¿Existe diferencia en la resistencia adhesiva frente a fuerzas de cizallamiento de los brackets metálicos empleando diferentes cementos adhesivos, estudio in vitro en Lima – Perú 2021?
Objetivo general
Determinar la diferencia en la resistencia adhesiva frente a fuerzas de cizallamiento de los brackets metálicos empleando diferentes cementos adhesivos, estudio in vitro. Lima – Perú 2021.
La presente investigación permite actualizar la información que existe en cuanto a la importancia de la adhesión y resistencia al desprendimiento de los brackets y los problemas relacionados a su descementación.
Para la valoración de la variable desprendimiento se empleó el método de cizallamiento aplicado por la máquina de ensayo universal, está ha demostrado su efectividad para ser utilizado en otros trabajos de investigación siendo posible replicar la metodología.
Al conocer el tipo de cemento resinoso que ofrece mejores cualidades adhesivas, el profesional tendrá mayor confianza al elegir el tipo de cemento a emplear y con ello la planificación de tratamiento se podrá continuar sin altercados durante el proceso. Además, el paciente no tendrá que regresar por problemas de desprendimiento del brackets, por lo tanto, evitará prolongar el tratamiento, costo mensual que conlleva, así las veces de exposición al consultorio para la adherencia del brackets.
El estudio se realizó entre los meses de agosto del 2020 a noviembre del 2021, teniendo muchos inconvenientes por la ejecución de esta investigación, debido a la actual situación de la pandemia COVID-19, así como las importaciones de los materiales hacia nuestro país, las mismas que fueron adquiridas en empresas odontológicas de renombre.
El estudio se realizó en Perú, en la ciudad de Lima, específicamente en las instalaciones del laboratorio HTL, laboratorio especializado en ensayos mecánicos de materiales. Sin embargo, ingresar a las instalaciones de dicha empresa fue imposible por las medidas adquiridas por la empresa para sobrellevar la pandemia COVID-19, siendo los mismos ingenieros del establecimiento los que tuvieron que realizar parte del procedimiento en lugar del investigador.
Los materiales y el gasto de toda la tesis para la realización de este estudio, fueron cubiertos por el investigador del estudio.
MÉTODO
Método de la investigación: El presente estudio fue de tipo hipotético deductivo, pues se plantearon hipótesis y luego se comprobaron.
Enfoque de la investigación: Fue de tipo cuantitativo.
Tipo de investigación: El presente estudio fue de tipo aplicada, pues se enfoca en resolver un planteamiento específico, enfocándose en la búsqueda y consolidación del conocimiento para su aplicación y, por ende, para el enriquecimiento del desarrollo cultural y científico.
Diseño de la investigación: El presente estudio fue de tipo experimental, transversal, prospectivo y comparativo.
Población y muestra
· Población: brackets metálicos marca Morelli, cementados en dientes artificiales tipo Nissin.
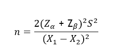
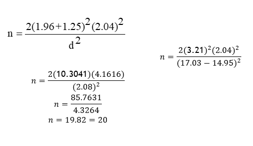
· Muestra: La muestra fue resultado del siguiente calculo muestral, normados bajo antecedentes previos:

Donde
n= Elementos necesarios en cada una de las muestras.
Zα= Nivel de confianza 95 % (1,96).
Zβ= poder estadístico 90 % (1,25).
d = Diferencia de medias (2,57).
S= Desviación estándar.

Por lo tanto, se requirió una muestra mínima de 20 brackets metálicos por cada tipo de cemento, es decir, se emplearán 2 cementos (Orthocem o Heliosit) por lo que en total se emplearán 40 piezas artificiales adheridos con su respectivo brackets.
Muestreo: El muestreo empleado fue no probabilístico por conveniencia seleccionándose dos de las marcas de cementos adhesivos más conocidas y empleadas en el mercado odontológico a nivel nacional.
Criterios de selección: Se emplearon los criterios de inclusión: brackets metálicos cementados en dientes artificiales marca Nissin, empleando los cementos ortodonticos Orthocem o Heliosit, estos brackets fueron cementados y cubierto por toda su base. Así mismo se excluyeron los dientes artificiales en donde se sospechó que el cemento no ha cubrió toda la base de los brackets al ser adherido y dientes artificiales que presenten fractura o daño estructural.
Variables y operacionalización
|
Tabla 1. Variables y operacionalización |
|||||
|
Variables |
Definición operacional |
Dimensión |
Indicadores |
Escala de medición |
Escala valorativa |
|
Resistencia adhesiva de brackets metálicos |
Capacidad que presentan los brackets metálicos al ser adheridos a la superficie dental por medio de un agente cementante. |
Resistencia adhesiva a las fuerzas de cizallamiento |
Resistencia del material hasta el punto de separación |
De razón |
0 – 10 MPa. |
|
Cementos adhesivos |
Agente que presenta propiedades adhesivas, esta puede ser a alguna o muchas materiales o superficies. |
Cementos adhesivos empleados en ortodoncia |
Material para cementar brackets |
Nominal |
Orthocem. Heliosit. |
Técnicas e instrumentos de recolección de datos
Técnica
La técnica que se empleó para recolectar los datos fue la técnica experimental in vitro. Para ello, se realizó todo un proceso que consistió inicialmente en conseguir la maqueta dental de dientes Nissin, esta se consiguió en la empresa dental Pareja Lecaros, ubicado en la Avenida Emancipación, centro de Lima. En ella se instalaron los dientes Nissin, los cuales simulan las piezas dentales (material de marfilina), por lo que la adhesión de los brackets fue lo más similar a los dientes naturales. Así también, los cementos adhesivos (Orthocem y Heliosit) y los brackets metálicos que se utilizaron para el cementado de los brackets en los dientes artificiales Nissin se consiguieron en las galerías dentales ubicadas en la Av. Emancipación, estos brackets fueron de la marca Morelli Roth Max Slot 0,022.
Una vez conseguida la maqueta se procedió a colocar los dientes artificiales Nissin según indica el fabricante, instalando diente por diente y atornillándolo a la maqueta, hasta que completar la instalación de los dientes artificiales de ambas arcadas. Posteriormente se dividieron los dientes artificiales en dos grupos.
· Grupo I (dientes artificiales del maxilar superior): Los brackets metálicos fueron adheridos empleando el cemento adhesivo orthocem.
· Grupo II (dientes artificiales del maxilar inferior): Los brackets metálicos fueron adheridos empleando el cemento adhesivo heliosit.
Una vez con todos los materiales listos, se solicitó a una especialista en ortodoncia y ortopedia maxilar, Esp. CD. Pammela Castañeda Cornejo (COP 21723 / RNE 622), que realice el cementado de brackets en los dientes artificiales tipo Nissin, estos brackets fueron cementados empleando la siguiente escala de posicionamiento:
|
Tabla 2. Escala de posicionamiento |
||||
|
ICS |
ILS |
CS / CI |
PMS / PMI |
ICI / ILI |
|
5 |
4,5 |
5 |
5 |
4 |
Para este procedimiento, la especialista inició irrigando los dientes con abundante agua y secando con aire de la jeringa triple por un periodo de 10 segundos. Seguidamente colocó un cemento adhesivo (Orthocem / Heliosit) en la base del brackets y fue llevado hacia la cara vestibular de la piezas dentales artificiales empleando un porta brackets (Morelli) y fue posicionado con un posicionador de brackets tipo lápiz (Morelli), seguidamente se retiraron los restos de cementos con ayuda de un microbrush y fue polimerizado con una lampara led Elipar TM Deep Cure – L (3M Espe) a una intensidad de luz de 1470 nW/cm2 por un periodo de 5 segundos por cada lado del brackets (mesial, distal, superior e inferior), terminado con esto el proceso de adhesión de brackets y entregando un certificado al investigador interesado.
Una vez que los brackets fueron adheridos a los dientes artificiales Nissin, estos fueron retirados de la maqueta, destornillándola de la misma, solo quedando los dientes sueltos con los brackets cementados en ellos. Posteriormente los dientes superiores fueron separados y rotulados, identificando que estos fueron cementados con el cemento adhesivo Orthocem. Mientras que los inferiores se rotularan, que fueron cementados con el cemento adhesivo Heliosit.
Con los grupos identificados y rotulados, se procedió a realizar una base de acrílico para cada pieza dental artificial, esta tuvo una base que permitió que el diente pueda permanecer en una posición vertical, esta base fue formada con ayuda de un molde circular de plástico (Porciones de 15 mm de tubos de agua de 1 1/2), a la cual se vertió una pequeña cantidad de acrílico de termocurado rápido recién preparado (1 gramo de acrílico por 1 mililitro de monómero), seguidamente se colocó el diente en posición vertical, siendo la parte de la raíz sumergida en el acrílico y dejando expuesta toda la parte coronal del diente, obteniéndose así un diente con una base estable. Este procedimiento se repitió para todos los dientes. Ya con las piezas dentales terminadas con sus bases de acrílicas y rotuladas, estas fueron entregadas al laboratorio de ensayos mecánicos “HTL” quienes se encargaron del procedimiento mecánico y registraron todo el proceso mediante fotografía. Ya que por tiempos de pandemia COVID-19 está prohibido el ingreso de personal ajeno a la empresa.
El procedimiento que realizó el laboratorio de ensayos mecánicos fue colocar individualmente cada pieza dental sobre la máquina de ensayos universales. Esta máquina que presenta un vástago metálico con una terminación en bisel a 30º avanzó en posición vertical de arriba a abajo a una velocidad de avance de 1 mm/min contactando el vástago del equipo con la parte superior del brackets adherido a la superficie dental, este siguió su avance hasta desprender el brackets del diente, registrado la fuerza necesaria en megapascales para realizar dicha acción, estos datos se registraron de manera computarizada en los equipos electrónicos del laboratorio, el cual luego brindó la empresa para ser transcritos en la ficha de recolección de datos y posteriormente analizado por el estadista.
Descripción de instrumentos
La ficha empleada fue elaborada para la presente investigación y en la cual se anotaron los valores en Megapascales, de la resistencia a la adhesión de los distintos cementos adhesivos obtenidos en la prueba in vitro.
Validación
La validez se dio por medio de juicio de tres (03) expertos, realizado por docentes de la Universidad Privada Norbert Wiener.
Confiabilidad
La confiabilidad se dio por el resultado obtenido por el programa SPSS 23, siendo utilizado la prueba de alfa de Cronbach para este fin.
Plan de procesamiento y análisis de datos
Para el análisis de datos se empleó el programa SPSS v.23 siendo utilizado la prueba T de student para muestras independientes. Además, se empleó el programa Excel para la elaboración de gráficos.
Aspectos éticos
El presente proyecto se ciñó a las normas establecidas por el gobierno peruano, frente a la no exposición y aglomeración a causa de la pandemia por COVID 19.
Como eje institucional, esta investigación estuvo siendo valorada por el programa turnitin, durante todo su proceso, y cuya valoración comprueba su índice de similitud inferior a la permitida por la universidad.
RESULTADOS
|
Tabla 3. Resistencia adhesiva frente a fuerzas de cizallamiento de los brackets metálicos empleando el cemento adhesivo orthocem |
||||
|
# |
Resistencia adhesiva |
|
# |
Resistencia adhesiva |
|
1 |
0,81 |
|
11 |
2,54 |
|
2 |
1,16 |
|
12 |
1,93 |
|
3 |
1,43 |
|
13 |
3,29 |
|
4 |
3,39 |
|
14 |
1,15 |
|
5 |
2,86 |
|
15 |
4,95 |
|
6 |
5,05 |
|
16 |
1,59 |
|
7 |
3,12 |
|
17 |
2,96 |
|
8 |
3,46 |
|
18 |
0,81 |
|
9 |
1,95 |
|
19 |
3,22 |
|
10 |
2,69 |
|
20 |
3,48 |
|
Cemento Adhesivo |
N |
Media |
Desviación estándar |
Cemento Adhesivo |
|
Orthocem |
20 |
2,592 |
1,28 |
Orthocem |
En la tabla 3 se evidencia que la resistencia adhesiva frente a fuerzas de cizallamiento de los brackets metálicos empleando el cemento adhesivo Orthocem fue de 2,592 ± 1,28 megapascales.

Figura 1. Resistencia adhesiva frente a fuerzas de cizallamiento de los brackets metálicos empleando el cemento adhesivo orthocem
|
Tabla 4. Resistencia adhesiva frente a fuerzas de cizallamiento de los brackets metálicos empleando el cemento adhesivo heliosit. |
||||
|
# |
Resistencia adhesiva |
|
# |
Resistencia adhesiva |
|
1 |
2,23 |
|
11 |
1,57 |
|
2 |
1,27 |
|
12 |
3,07 |
|
3 |
3,22 |
|
13 |
2,99 |
|
4 |
3,77 |
|
14 |
2,35 |
|
5 |
2,66 |
|
15 |
2,06 |
|
6 |
3,09 |
|
16 |
3,2 |
|
7 |
1,42 |
|
17 |
3,65 |
|
8 |
2,01 |
|
18 |
2,68 |
|
9 |
2,77 |
|
19 |
2,72 |
|
10 |
1,93 |
|
20 |
2,03 |
|
Cemento Adhesivo |
N |
Media |
Desviación estándar |
Cemento Adhesivo |
|
Heliosit |
20 |
2,437 |
0,80 |
Heliosit |
En la tabla 4 se evidencia que la resistencia adhesiva frente a fuerzas de cizallamiento de los brackets metálicos empleando el cemento adhesivo heliosit fue de 2,437 ± 0,80 megapascales.

Figura 2. Resistencia adhesiva frente a fuerzas de cizallamiento de los brackets metálicos empleando el cemento adhesivo heliosit
|
Tabla 5. Resistencia adhesiva frente a fuerzas de cizallamiento de los brackets metálicos empleando el cemento adhesivo orthocem en comparación al cemento Heliosit |
|||
|
Cemento Adhesivo |
N |
Media |
Desviación estándar |
|
Orthocem |
20 |
2,592 |
1,28 |
|
Heliosit |
20 |
2,437 |
0,80 |
Contrastación de hipótesis
· Hi: Existe diferencia en la resistencia adhesiva frente a fuerzas de cizallamiento de los brackets metálicos empleando diferentes cementos adhesivos.
· Ho: No existe diferencia en la resistencia adhesiva frente a fuerzas de cizallamiento de los brackets metálicos empleando diferentes cementos adhesivos
T de student: P=0,211>0,05.
Como P>0,05 se acepta la hipótesis nula.
· Ho: No existe diferencia en la resistencia adhesiva frente a fuerzas de cizallamiento de los brackets metálicos empleando diferentes cementos adhesivos
En la tabla 5 se evidencia que la resistencia adhesiva frente a fuerzas de cizallamiento de los brackets metálicos empleando el cemento adhesivo Orthocem fue de 2,592 ± 1,28 megapascales. Mientras que empleando el cemento adhesivo Heliosit fue de 2,437 ± 0,80 megapascales.

Figura 3. Resistencia adhesiva frente a fuerzas de cizallamiento de los brackets metálicos empleando el cemento adhesivo orthocem en comparación al cemento Heliosit
DISCUSION
Este estudio tuvo como objetivo determinar la resistencia adhesiva frente a fuerzas de cizallamiento de los brackets metálicos empleando diferentes cementos adhesivos. Para este fin se emplearon los cementos adhesivos Orthocem y Heliosit.
En los resultados encontrados se pudo apreciar que el cemento adhesivo orthocem produjo una resistencia adhesiva de 2,592 ± 1,28 megapascales frente a las fuerzas de cizallamiento inducidas en dientes que presentaban brackets metálicos. Lo que coincide con los resultados encontrados por Huaita J.(7), quien menciona que el cemento adhesivo Orthocem produjo una resistencia a la adhesión de 5,074 ± 1,549 megapascales frente a las fuerzas de cizallamiento. Por otro lado, este estudio discrepa con lo mencionado por García M, Vicente A, Bravo L.(8) quienes mencionan que la resistencia adhesiva de los cementos resinosos en brackets metálicos es de 13,19 ± 5,87 megapascales. Resultados que se diferencia de este estudio, debido a que dichos autores emplearon el cemento adhesivo transbond plus, mientras que en esta investigación se utilizó el cemento adhesivo Orthocem.(9,10,11,12,13,14)
Por otro lado, este estudio también discrepa con los resultados encontrados en la investigación realizada por Aguilar V.(15) quien menciona que el cemento adhesivo Orthocem generó una resistencia adhesiva de 17,42 ± 10,67 megapascales frente a las fuerzas de cizallamiento en brackets metálicos.(16,17,18,19) Siendo posible estas diferencias debido a que dicho autor realizó su estudio empleando dientes premolares humanos, mientras que en esta investigación se emplearon dientes sintéticos de tipo Nissin. Asimismo, esta investigación se contrapone a los resultados expuestos por Calvo F. et al.(20) quienes mencionaron que la resistencia a la adhesión de tubos metálicos fue de 31,97 Megapascales. Debiéndose las diferencias de resultados posiblemente a que en este último estudio se decidió medir la resistencia adhesiva empleando tubos metálicos en lugar de brackets metálicos.(21,22,23,24)
Por otro lado, en esta investigación se pudo evidenciar que el cemento adhesivo Heliosit produjo una resistencia adhesiva de 2,437 ± 0,80 megapascales frente a las fuerzas de cizallamiento inducidas en dientes que presentaban brackets metálicos. Lo que coincide con los resultados encontrados por Huaita J.(7), quien menciona que el cemento adhesivo Heliosit produjo una resistencia a la adhesión de 6,254 ± 1,619 megapascales frente a las fuerzas de cizallamiento. Por contrario, este estudio discrepa con lo mencionado por Spaccesi M.(9) quien menciona que la adhesión a brackets metálicos logró una resistencia al desprendimiento de 18,51 ± 4,07 megapascales. Datos que difieren con los de esta investigación, posiblemente porque dicho autor empleó un grabado acido de 15 segundos y dientes premolares humanos. Mientras que en esta investigación no se empleó ningún agente grabador, ni dientes naturales, sino los dientes artificiales Nissin.(25,26,27,28,29)
Así también, este estudio discrepa de lo expuesto por Herrera R.(30) quien menciona que la adhesión de brackets metálicos en dientes naturales es de 2,46 ± 1,33 megapascales frente a las fuerzas de tracción. Resultados que difieren de esta investigación debido a que este último autor empleó dientes naturales y fuerza de tracción. Mientras que en este estudio se emplearon dientes artificiales Nissin y la adhesión de brackets fue medida frente a fuerzas de cizallamiento. Por último, este estudio discrepa con los resultados presentados por Cruz M.(31) quien menciona que la resistencia adhesiva de los cementos resinosos en brackets metálicos son de 22,77 ± 2,90 megapascales. Resultados que se diferencias de este estudio, debido a que dichos autores emplearon el cemento adhesivo transbond XT, mientras que en esta investigación se utilizó el cemento adhesivo Heliosit.(32,33,34)
Por último, en este estudio se evidencia que no existe diferencia estadísticamente significativa (p=0,211) entre la resistencia adhesiva del cemento adhesivo Orthocem y el cemento Heliosit frente a fuerzas de cizallamiento de los brackets metálicos. Siendo la resistencia de ambos cementos resinosos de 2,592 ± 1,28 y 2,437 ± 0,80 megapascales. Estos datos son corroborados por Huaita J.(7) quien menciona que no existe diferencia estadísticamente significativa entre la resistencia adhesiva de los cementos adhesivos Orthocem y Heliosit.(35,36)
CONCLUSIONES
El cemento adhesivo orthocem presenta una resistencia adhesiva de 2,592 ± 1,28 megapascales frente a las fuerzas de cizallamiento.
El cemento adhesivo heliosit presenta una resistencia adhesiva de 2437 ± 0,80 megapascales frente a las fuerzas de cizallamiento.
El cemento adhesivo orthocem y hHeliosit presentan una resistencia adhesiva similar no encontrándose diferencia estadísticamente significativa (p>0,05) frente a las fuerzas de cizallamiento.
RECOMENDACIONES
Se recomienda realizar distintos estudios de resistencia adhesiva de brackets frente a fuerzas de tracción y cizallamiento.
Se recomienda realizar estudios de resistencia adhesiva de brackets metálicos en comparación a brackets estéticos.
Se recomienda realizar estudios de resistencia adhesiva de brackets que presentan diferentes tipos de mallas retentivas.
Se recomienda realizar estudios de resistencia adhesiva de brackets con cementos adhesivos incorporando otras marcas comerciales en Perú.
REFERENCIAS
1. Rodrigues M, Alves E, Fernandez E, Kuga M, Ferrarezi M, Coelho M. Bond strength and adhesive remnant index of experimental brackets bonded with self-adhesive resin cement. Rev. Clin. Periodoncia Implantol. Rehabil. Oral Vol. 2017; 10(2):115-117.
2. Aguilar R. Efecto de la desproteinización adamantina con hipoclorito de sodio al 5 % en la calidad de la adhesión de los brackets ortodónticos evaluados mediante un sistema de fuerza de cizallamiento. [Tesis para optar el título de especialista en ortodoncia y ortopedia maxilar]. Lima: Universidad Inca Garcilaso de la Vega; 2017.
3. Adrianzen B. Comparación in vitro de la resistencia adhesiva de los brackets cementados con rely a bond® y orthocem® en dientes bovinos clareados con peróxido de hidrógeno al 35 % en diferentes intervalos de tiempo. [Tesis para optar el título de especialista en Ortodoncia]. Lima: Universidad Peruana de Ciencias Aplicadas; 2017.
4. Carrillo I. Comparación de la resistencia al descementado de brackets metálicos adheridos con una resina fluida, una bioresina y una resina convencional. [Tesis para optar el título de especialista en Ortodoncia]. Toluca: Universidad Autónoma del Estado de México; 2017.
5. Robaski A, Pamato S, De Oliveira M, Pereira J. Effect of saliva contamination on cementation of orthodontic brackets using different adhesive systems. J Clin Exp Dent. 2017;9(7):919-924.
6. Cruz M. Resistencia al cizallamiento in vitro de dos tipos de brackets y su efecto sobre el esmalte dental. Lima- Perú. 2014-2015. [Tesis para optar el Grado Académico de Magister en Docencia e Investigación en Salud]. Lima: Universidad Nacional Mayor de San Marcos; 2019.
7. Huaita J. Comparación de la fuerza de adhesión de tres cementos para ortodoncia en esmalte humano. [Tesis para optar el título de Cirujano Dentista]. Lima: Universidad Nacional Federico Villarreal; 2018.
8. García M, Vicente A, Bravo L. Evaluación de la fuerza adhesiva de brackets con bases de diferentes diseños. Ortod. Esp. 2016; 54 (2):27-32.
9. Spaccesi M. Análisis de la adhesión a esmalte de brackets metálicos cementados con resina de fotocurado, utilizando diferentes técnicas de acondicionamiento e imprimación. [Tesis para optar el título de Doctor en Odontología]. Córdoba: Universidad Nacional de Córdoba; 2017.
10. Camargo Y, Oliveros J. Comparación de la resistencia a la descementación de brackets mediante el acondicionamiento de la superficie del esmalte dental con hipoclorito de sodio. [Tesis para optar el título de especialista en Ortodoncia]. Cartagena: Universidad de Cartagena; 2018.
11. Serrano P. Estudio in vitro con microscopio electrónico de la interfase esmalte dental - adhesivo utilizando resina transbond xt combinado con hipoclorito de sodio y clorhexidina como agentes eliminadores de placa bacteriana previo al protocolo de cementación de brackets. [Tesis para optar el título de especialista en Ortodoncia]. Quito: Universidad San Francisco de Quito; 2015.
12. Fraga E. Incremento de la resistencia al cizallamiento en ortodoncia utilizando hipoclorito de sodio al 2,5 % y al 5,25 % previo a la adhesión. [Tesis para optar el título de especialista en ortodoncia]. Querétaro: Universidad Autónoma de Querétaro; 2018.
13. Chumacero M. Resistencia al cizallamiento de brackets utilizando dos sistemas adhesivos. Lima- Perú 2021. [Tesis para optar segunda especialidad en Ortodoncia y ortopedia maxilofacial]. Lima: Centro Odontológico de la Universidad Privada San Martin de Porres; 2021.
14. Erazo M. Resistencia al desprendimiento de brackets mediante fuerzas de cizallamiento, en el esmalte dental previamente desproteinizado. estudio in vitro en la facultad de odontología de la universidad central del ecuador. [Tesis para optar el título de odontología]. Quito: Universidad Central del Ecuador; 2017.
15. Aguilar V. Estudio in vitro de la resistencia al cizallamiento de sistemas de adhesión no tradicionales usados en el cementado de brackets ortodóncicos, Arequipa. [Tesis para optar el título de Doctor en Ciencias de la Salud]. Arequipa: Universidad Nacional de San Agustín; 2017.
16. Mandril M, Lezcano M, Navarro J, Zamudio M. Estudio comparativo in vitro de la fuerza de adhesión a la superficie dental de brackets metálicos y cerámicos utilizando un cemento a base de resina, con diferentes sistemas de fotopolimerización y espesores de material. Acta odontológica venezolana. 2018; 56(2):11-12.
17. Turpo F. Retiro de brackets. [Tesis para optar el título de especialista en Ortodoncia]. Tacna: Universidad Privada de Tacna; 2016.
18. Viteri D. Comparación in vitro de la fuerza de adhesión de brackets de porcelana reacondicionados vs brackets nuevos. [Tesis para optar el título de Cirujano Dentista]. Quito: Universidad Central del Ecuador; 2017.
19. Nawrocka A, Lukomska M. The Indirect Bonding Technique in Orthodontics. A Narrative Literature Review. Materials. 2020;13(1):1-8.
20. Calvo F, Murayama N, Justus R, Ondarza R, Garcia S. Estudio comparativo de la resistencia al desprendimiento de tubos adheridos a una superficie de resina obturada sobre la superficie bucal de los molares con la resina Empress Direct y con la resina Transbond XT: un estudio ex vivo. Revista Mexicana de Ortodoncia. 2017; 5(3):140-147.
21. Vargas H, Miranda E, Lazo L, Cosio H. Comparación in vitro de la Resistencia adhesiva de los sistemas adhesivos grabado y enjuague y autograbado. Odontología Vital. 2019; 30(1):45-50.
22. Fernandes J, De Freitas L, De Freitas V, De Faria P, Sousa A, Gade C, Tavares C. Shear Bond Strength and Adhesive Remnant of Three Protocols used for Bonding Orthodontic Brackets. Brazilian Research in Pediatric Dentistry and Integrated Clinic. 2016;16(1):433-440.
23. Carrillo M. Michael G. Buonocore, padre de la odontología adhesiva moderna, 63 años del desarrollo de la técnica del grabado del esmalte (1955-2018). Revista ADM. 2018; 75(3):135-142.
24. Chacón J, Del Rosario N, Zamudio M. Adhesión posclareamiento y el efecto de la aplicación de antioxidantes. RAAO. 2018; 59(2):21-25.
25. Gutiérrez M, Sánchez T, López A. Frecuencia de aparatos utilizados en tratamientos de ortodoncia interceptiva. Rev. Cient. Odontol. 2016; 12(2):8-14.
26. Martínez Z, Quintero L, Flores A, Ortiz J, Sandoval Z, Torres P. Comparación de resistencia al cizallamiento y carga máxima en tres sistemas adhesivos adheridos al esmalte. RODYB. 2017; 5(1):25-25.
27. Rodríguez A, Pereyra A, Zamudio M, Álvarez M, Christiani J. Estudio In Vitro de la resistencia al cizallamiento de una resina reforzada según el tratamiento del sustrato. Revista facultad de odontología. 2016; 9(1):7-12.
28. Grunheid T, Larson B. Comparative assessment of bracket survival and adhesive removal time using flash-free or conventional adhesive for orthodontic bracket bonding: A split-mouth randomized controlled clinical trial. Angle Orthodontist. 2018; 89(2):299-305.
29. García V. Estudio de la fuerza de adhesión de brackets metálicos y cerámicos sobre superficies de zircona tratadas con láser de femtosegundos. [Tesis para optar el grado de Doctor en odontología]. Valencia: Universidad de Valencia; 2018.
30. Herrera R. Estudio comparativo in vitro de resistencia a la tracción entre una resina fotopolimerizable y una autopolimerizable en adhesión de brackets metálicos. [Tesis para optar el título de Odontólogo]. Quito: Universidad de las Américas; 2016.
31. Cruz A, Delgado E. Experimental study of brackets adhesion with a novel enamel-protective material compared with conventional etching. Saudi Dental Journal. 2019; 10(1):1-7.
32. Macedo N, Melo J, Cabral V, Bottino M, Villaca L. Evaluación de la resistencia de unión de brackets ortodónticos fijados a cerámica de disilicato de litio. Int. J. Odontostomat. 2019;13(2):207-218.
33. Rojas V, Gomez M, Sampaio C, Saez M, Oyonarte R. Análisis comparativo in vitro de la resistencia adhesiva al cizallamiento de brackets metálicos adheridos a superficies dentarias tratadas con diferentes agentes blanqueadores. Int. J. Inter. Dent. 2021;14(1):17-21.
34. Bendezu B. Resistencia de adhesión al desprendimiento de brackets ortodónticos de la superficie del esmalte por tiempos de polimerización. [Tesis para optar el título de especialista en ortodoncia y ortopedia maxilar]. Huancayo: Universidad Continental; 2020.
35. Sabando N. Técnicas de adhesión en ortodoncia convencional y lingual. [Tesis para optar el título de cirujano dentista]. Guayaquil: Universidad de Guayaquil; 2021.
36. Pereyra L. Diferencias de la fuerza de adhesión de brackets al esmalte dental mediante el uso de tres agentes adhesivos, Chachapoyas – 2018. [Tesis para optar el título de cirujano dentista]. Chachapoyas: Universidad Nacional Toribio Rodríguez de Mendoza de Amazonas; 2019.
FINANCIACIÓN
Ninguna.
CONFLICTO DE INTERESES
Ninguno.
CONTRIBUCIÓN DE AUTORÍA
Conceptualización: Darwin Newton Yanac Calero, Ann Rosemary Chanamé Marín.
Curación de datos: Darwin Newton Yanac Calero, Ann Rosemary Chanamé Marín.
Análisis formal: Darwin Newton Yanac Calero, Ann Rosemary Chanamé Marín.
Investigación: Darwin Newton Yanac Calero, Ann Rosemary Chanamé Marín.
Metodología: Darwin Newton Yanac Calero, Ann Rosemary Chanamé Marín.
Administración del proyecto: Darwin Newton Yanac Calero, Ann Rosemary Chanamé Marín.
Recursos: Darwin Newton Yanac Calero, Ann Rosemary Chanamé Marín.
Software: Darwin Newton Yanac Calero, Ann Rosemary Chanamé Marín.
Supervisión: Darwin Newton Yanac Calero, Ann Rosemary Chanamé Marín.
Validación: Darwin Newton Yanac Calero, Ann Rosemary Chanamé Marín.
Visualización: Darwin Newton Yanac Calero, Ann Rosemary Chanamé Marín.
Redacción – borrador original: Darwin Newton Yanac Calero, Ann Rosemary Chanamé Marín.
Redacción – revisión y edición: Darwin Newton Yanac Calero, Ann Rosemary Chanamé Marín.