doi: 10.56294/evk202350
ORIGINAL
H2S Hydrogrn Sulfide risk factors, conditions and work environment in processes in the oil industry in Argentina
H2S Ácido Sulfhídrico factores de riesgo, condiciones y medio ambiente de trabajo en procesos en la industria petrolera en Argentina
Agostina Constansa Rodriguez1, Hernan Carlos Hoyos1
1Universidad Siglo 21, Licenciatura en Higiene Seguridad y Medio Ambiente del Trabajo. Argentina.
Citar como: Rodriguez AC, Hoyos HC. H2S Hydrogrn Sulfide risk factors, conditions and work environment in processes in the oil industry in Argentina. eVitroKhem. 2023; 2:50. https://doi.org/10.56294/evk202350
Enviado: 22-07-2022 Revisado: 22-10-2022 Aceptado: 19-12-2022 Publicado: 01-01-2023
Editor: Prof.
Dr. Javier Gonzalez-Argote ![]()
ABSTRACT
The purpose of this Final Graduation Project is to investigate exploring the different work processes, to visualize the occupational exposure to H2S hydrogen sulfide of a worker in the oil field, their atmospheric environment, working conditions, work environments, dangers and risks, in order to guarantee compliance with the permissible limits in current occupational health and safety regulations. In the oil industry, H2S is present in the atmosphere of all processes, various plants, batteries and locations because it is part of oil and gas, high concentrations can cause damage to health, or even death by suffocation and high contamination to the environment. For this, surveys were carried out obtaining data and analyzing the information of the workers of the different sectors, the majority have little knowledge of the exposure to H2S, the potentiality and severity of this gas, the work they do is dangerous.
Keywords: H2S (Hydrogen Sulfide, Hydrogen Sulfide, Hydrogen Sulfide Gas, Hydrogen Sulfide); Concentrations; Repeated or Prolonged Exposure; Working Conditions; Working Environment; Oil; Damage to Health; Death.
RESUMEN
El propósito de este Trabajo Final de Graduación es investigar explorando los diferentes procesos de trabajo, para visualizar la exposición laboral al H2S sulfuro de hidrógeno de un trabajador en el ámbito petrolero, su ambiente atmosférico, condiciones laborales, entornos de trabajo, peligros y riesgos, con el fin de garantizar el cumplimiento de los límites permisibles en la normativa vigente de seguridad y salud ocupacional. En la industria petrolera el H2S se encuentra presente en la atmosfera de todos los procesos diversas plantas, batería y locaciones pues es parte de petróleo y gas, las altas concentraciones puede causar daño para la salud, o incluso hasta la muerte por asfixia y contaminaciones elevadas al medio ambiente. Para ello se realizó encuestas obteniendo datos y analizando la información de los trabajadores de los diferentes sectores, la mayoría tiene poco conocimiento de la exposición al H2S, la potencialidad y severidad que tiene este gas, el trabajo que realizan es peligroso.
Palabras clave: H2S (Sulfuro de Hidrógeno; Ácido Sulfhídrico; Gas Sulfhídrico; Hidrógeno Sulfurado); Concentración Permisible; Exposición Repetida o Prolongada; Condiciones de Trabajo; Entorno de Trabajo; Petróleo; Daños a la Salud; Muerte.
INTRODUCCIÓN
La industria petrolera representa uno de los sectores más dinámicos, complejos y riesgosos del ámbito industrial,(1,2) donde las condiciones laborales exigen una planificación rigurosa en materia de seguridad, salud ocupacional y medio ambiente.(3,4,5) Dentro de este contexto, el presente trabajo de investigación se enfoca en el análisis de los riesgos asociados a la exposición al gas sulfhídrico (H₂S) en tres empresas que operan en distintos yacimientos petroleros de la provincia de Chubut, Argentina: YPF (yacimientos Comodoro Rivadavia – Escalante – Trébol), PAE Pan American Energy (Cerro Dragón) y CAPSA (Diadema Argentina).(6,7,8) Esta investigación pretende no solo identificar los peligros a los que se enfrentan los trabajadores, sino también analizar el nivel de conocimiento, prevención y capacitación respecto al manejo de productos químicos peligrosos, especialmente el H₂S.(9,10,11)
El diseño metodológico de este estudio es exploratorio, descriptivo y comparativo, con un enfoque cuanticualitativo y un corte transversal.(12,13,14) Se recolectaron datos en campo mediante encuestas, entrevistas y el uso de instrumentos de medición especializados, tales como detectores de gases calibrados, además de observar directamente los procedimientos en diversas áreas operativas. La muestra fue conformada por personal seleccionado aleatoriamente en cada una de las empresas, asegurando representatividad y diversidad de funciones y tareas.(15,16,17)
A través del análisis de los datos recolectados, se identificaron importantes deficiencias en la concientización, capacitación y aplicación efectiva de medidas preventivas. En muchos casos, el personal operativo no reconoce adecuadamente los peligros asociados al H₂S, no cuenta con acceso a la documentación necesaria ni maneja los procedimientos estandarizados.(18,19,20) Este panorama genera una exposición significativa al riesgo, tanto para la salud de los trabajadores como para la seguridad de las instalaciones.(21,22)
Este trabajo se plantea como una contribución inicial hacia una mejora integral en la gestión de riesgos en yacimientos petroleros, proponiendo líneas de acción y recomendaciones para fortalecer la cultura de la seguridad y reducir la incidencia de eventos adversos relacionados con agentes químicos peligrosos.
¿De qué manera influye el nivel de conocimiento, capacitación y aplicación de medidas preventivas sobre la exposición al gas H₂S en los trabajadores de empresas que operan en yacimientos petroleros de la provincia de Chubut?
Objetivo
El objetivo principal de esta investigación es conocer cómo se gestionan los riesgos asociados al H₂S, un gas extremadamente tóxico, inflamable y corrosivo, presente de manera natural en los procesos de extracción y tratamiento de hidrocarburos. Asimismo, se busca evaluar las condiciones laborales, los elementos de protección personal (EPP) utilizados, los protocolos documentales disponibles y la formación del personal en torno a este peligro.
MÉTODO
Diseño
La presente investigación tiene un alcance exploratorio con el propósito de destacar los aspectos fundamentales de una problemática determinada ya estudiada, descriptivo, identificar las características de la población y los diferentes procesos y lugares, comparativo, se compraba 3 (tres) empresa que prestan el mismo servicio en diferentes Yacimientos.
Y el tipo de la investigación es transversal, Se realizado en campo con la recolección de datos de los diferentes procesos con instrumentos de medición una única vez en las 3 (tres) empresas a comprar en Yacimientos Petroleros: YPF Comodoro Rivadavia – Escalante – Trébol. PAE Pan Amerycan Energy Cerro Dragón. CAPSA Diadema Argentina.
El mismo tiene un enfoque cuanticualitativo, usa la recolección numérica de datos y mediante análisis de los mismos se establecen patrones de comportamiento, explicaciones causales, predicciones, etcétera. El diseño efectuado fue no experimental, porque no existió manipulación de las variables, solo se observaron los fenómenos.
Población y Muestra
La investigación se elaboró trabajando sobre una muestra poblacional comparativa de 3 empresas que prestan servicios en la localidad de Comodoro Rivadavia, Trébol, Escalante Cerro Dragón y Diadema Argentina, Yacimientos Petroleros YPF – PAE Pan American Energy – CAPSA. Los datos de la población fueron brindados por los referentes de los departamentos de seguridad, salud y medio ambiente de cada Empresa Chiappori Nicolas, Gamarra Gisella y Villares Alfonso. Se analiza un pequeño grupo de personas los cuales fueron elegidos de manera aleatoria y se contactaron de manera personal. El muestreo se confeccionó mediante un cálculo matemático para estudios de tipo cualitavivo de población finita, para que sea representativa.
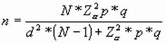
El cálculo del tamaño de la muestra poblacional finita se llevó a cabo mediante la siguiente Fórmula:

N = Tamaño de la población o universo (120).
Z = Parámetro estadístico que depende del nivel de confianza (50 % = 0,674). e = Error de estimación máximo aceptado (6,00 %).
p = Probabilidad de éxito del evento (50,00 %).
q = Probabilidad de que no ocurra el evento (50,00 %)
n = Tamaño de muestra buscado (25,15).
Herramienta de recolección de datos
Se utiliza como herramienta para la recolección de datos requeridos, consentimientos firmados por las personas encuestadas y un consentimiento firmado por la apoderada de una de las empresas para el uso de equipos de medición y fotográficos dde los diferentes áreas de trabajo, encuestas individual constituida por un consentimiento y preguntas con respuestas múltiples choise, el encuestado. Se realizara esto de manera presencial, personal y desde cualquier explorador web o disposición móvil a través de un enlace de invitación a la plataforma de formularios de google. Previamente de enviar y realizar las encuestas se comunica de manera telefónica a la persona.
Otra herramienta que se utilizó in situ fue un equipo de medición, detector de 4 gases, O₂, CO, H₂S, LEL Marca LIBUS modelo SP-MGT-P SK 0909213 con su respectiva calibración con fecha 06-05-2021 y su vencimiento 06-11-2021, cabe destacar que las calibraciones de estos equipos son cada 6 meses.
Se adjunta como Anexo certificaciones. Se adjunta como Anexo el formulario.
Análisis de datos
Los datos que se obtendrán de las encuestas serán tabulados en una planilla de cálculo Excel y representados gráficamente conforme a la necesidad. Se evalura la frecuencia de ocurrencia de determinadas respuestas, con el objetivo de determinar la exposición de la población.
Plazos temporales
El presente trabajo de investigación se desarrolló en 3 meses, comenzando desde la recolección de información, realización de las encuestas, análisis de datos obtenidos y
la formulación de las conclusiones.
RESULTADOS
El relevamiento de datos e información se llevó a cabo mediante un listado de preguntas de manera presencial y con formulario de google, realizando la totalidad de las personal a encuestar, con esto se intentó ahondar el rango de edades que trabajan en los yacimientos petroleros, rubros, trabajos que realizan, áreas y procesos, exposición al H2S y como este afecta a la salud, materiales y medio ambiente a los que están expuestos, factores de riesgos asociados, condiciones y medio ambientales de trabajo.
Documentación solicitada a implementar para los diferentes trabajos de las empresas o yacimientos.
También se descubrió que las personas encuestadas tienen poco conocimiento de este gas, reconocerlo, maneras de actuar ante la presencia, a pesar de que trabajan en un ambiente que la presencia es constante y los EPP que se deben utilizar para las tareas con exposición.


Figura 1. Lugar de residencia
Según los datos e información desprendida de las encuestas hay personal que trabaja en los Yacimientos de Ciudad de Comodoro, Rivadavia Provincia de Chubut que no es de la ciudad, si no que realizan régimen laboral. Ejemplo: trabajan 25 días y descansan 10.

Figura 2. Rangos de edades
Las edades del personal en los diferentes rubros y tareas varían en las 3 (tres) empresas.

Figura 3. Puestos de Trabajos

Figura 4. 1-2 Operarios realizando limpieza y saneamiento de las instalaciones

Figura 5. Operario se encuentra cepillando cañería de 4 con amoladora angular 750/115 mm

Figura 6. 4-5 Soldadura en espacio confinado con andamio en tanque cortador, planta sur

Figura 7. Operadores de Maquinaria Pesada: Manejo de Camiones, Hidrogrúas y Grúas

Figura 8. Recorredor realizando control de producción en boca de pozo

Figura 9. Encofrado de cámaras

Figura 10. Dos cuadrillas en conjunto realizando cambio de estrobo en cabeza de mula

Figura 11. Cateo y excavación para reparación de línea de 2’’

Figura 12. Coordinación de trabajo con supervisor y encargado de cuadrilla

Figura 13. Supervisores observando tareas de fraguado de hormigón

Figura 14. A. Toma de muestra en boca de pozo B. Separación en probetas de Hidrocarburo extraído de boca de pozo, agua y petróleo

Figura 15. Experiencias
Años de experiencia en los puestos de trabajo.
Relativo al rubro, tipos de trabajo, tareas a realizar y entorno laboral.
Se detallan los servicios que se presta en los diferentes yacimientos dividido por rubros.

Figura 16. Rubro de Trabajo
Los rubros están dividido en áreas con sus respectivos responsables, gerencia y mandos medios.


Figura 17. Tipos de trabajos que realizan
Diferentes tareas que realiza el personal operativo en campo de yacimientos.
Los lineamientos que toman las operadoras para los diferentes trabajos, tomando las precauciones para garantizar la seguridad de las personas e instalaciones, identificando los peligros, evaluando riesgos para determinar las medidas de control para evitar accidentes. Promoviendo el desarrollo de una cultura basada en el trabajo seguro.
El primer paso para la implantación de un Sistema de Permiso de Trabajo es identificar los trabajos, tareas u operaciones en las que dicho sistema es aplicable, o dicho en otras palabras, trabajos que requieren la emisión de uno o más PT, a través de un Análisis de Riesgo o un Árbol de Decisiones a partir del cual cada área podrá confeccionar sus propios listado referenciales dejándolo asentado en el Registro. Se aclara que estas guías no son exhaustivas ni limitantes y deben tomarse como orientativa a los fines de aplicación de los Permisos de Trabajo.
El Solicitante, en conjunto con el Autorizante, serán los responsables de analizar el trabajo con el Árbol de decisión para poder identificar si la tarea requiere o no Permiso de Trabajo.
Diagrama de flujo

Figura 18. Diagrama de flujo
Cuando un trabajo sea ejecutado en instalaciones de otro responsable y se trate de tareas no críticas, entonces será suficiente contar con un ATS o una autorización de ingreso avalada por lo que sería la figura del Autorizante si se aplicara el Sistema de Permisos de Trabajo, para ello se divide los trabajos según el siguiente cuadro:
Diagrama de procesos

Figura 19. Diagrama de procesos
|
Tabla 1. Ejemplos y Medidas de Control para Trabajos |
|||
|
Espacios confinados (sitio cerrado o parcialmente cerrado que no está diseñado para la ocupación de personas. Posee accesos y salidas limitadas para su ingreso y egreso). |
Ejemplo de actividades |
Tanques de yacimiento, piletas de yacimiento, cámaras de pozo, fosas y/o alcantarillas, cámaras de drenaje, cisternas. Calentadores de crudo, tratadores. Lugares donde exista riesgo de acumulación de gases, vapores o deficiencia de oxígeno. Excavaciones/zanjas mayores a 1,20mt de profundidad. |
|
|
Planificació n de las tareas / medidas de control |
Realizar el aislamiento de energía de la instalación. Realizar mediciones de atmosfera correspondientes. Personal capacitado y habilitado para ingreso a Espacio Confinado. Disponer y difundir del plan de contingencia/emergencia. |
||
|
Trabajo en altura (cuando una tarea se realice a una altura a más de 1,80 mts con respecto al plano inferior). |
Ejemplo de actividade s |
Trabajos sobre rampas, andamios, pasarelas. Trabajos sobre cajas reductoras de AIB que realicen sin Barquilla. Trabajos en antenas repetidoras. Trabajos sobre techos y voladizos. |
|
|
Planificac ión de las tareas / medidas de control |
Identificar que el equipo de protección personal contra caídas se debe usar y como utilizarlo. Revisar el equipo de protección contra caídas antes de usarlo. Estar siempre sujeto a un punto de anclaje. |
||
|
Instalaciones eléctricas (se aplica en instalaciones eléctricas ejecutadas por el personal propio y contratado). |
Ejemplo de actividades |
Trabajos sin tensión Trabajos con tensión en instalaciones MT a distancia Trabajos con tensión en instalaciones MT a contacto. Trabajos con tensión en BT. Trabajos con tensión de seguridad. |
|
|
Lanificación de las tareas / medidas de control |
Trabajo sin TENSION aplicar LAS 5 REGLAS DE ORO. Separar mediante corte visible la instalación. Bloquear en posición de apertura los aparatos de corte seccionamientos necesarios mediante el uso de tarjetas de peligro/bloqueo/candado de seguridad. Verificar la ausencia de tensión en cada fase con los elementos adecuados. Instalar sistemas de puesta a tierra y en corto circuito en todos los puntos donde puede llegar tensión. Delimitar el área o zona de trabajo. |
Trabajo con tensión aplicar las 5 reglas de oro. Verificar que el personal se encuentre habilitado para TCT. Verificar métodos de trabajos en instructivos asociados. Controlar las certificaciones de guantes, mangas, vainas, mantas, hidroelevadores con barquillas y demás elementos reglamentarios vigentes. Hacer uso de EPP que estas tareas requiere: Casco dieléctrico con mentonera, calzado aislante, protector ocular. Guantes aislantes aptos para la tensión de la instalación. Pértigas de maniobras aisladas, detectoras o verificadoras de tensión. |
|
|
|
|
Una vez terminado los trabajos el responsable del trabajo, el responsable de la consignación efectúa la desconsignación. |
|
|
Excavación |
Ejemplo de actividades |
Excavación/ zanjas de profundidad mayor a 1,20 mt. Excavaciones/zanjas en las que se presuma o se conozca la existencia de interferencias. Tareas de escarificado. |
|
|
Planificación de las tareas / medidas de control |
Confirmar que se hayan identificado las posibles interferencias Determinar el tipo y número de vías de escape. Señalizar y delimitar la zona de trabajo. Verificar que se esté manejando adecuadamente el movimiento de terreno para evitar derrumbes. Disponer del suelo removido a distancia del borde de la excavación. Cuando la excavación sea mayor a 1, 80 mt de profundidad deberá contar con arnés de seguridad y soga vida. Ejecutar los métodos de protección para el ingreso de personal a las excavaciones y zanjas. |
||
|
|
|
Inclinación / talud perimetral de la excavación a 30°. |
|
|
|
Inclinación / Talud perimetral de la excavación 45°. |
||
|
|
Inclinación / talud parcial de la excavación. |
||
|
|
Escalonado de la excavación. |
||
|
|
Entibado / apuntalado de la excavación. |
||
|
Caliente y frio |
Ejemplo de actividades |
Frio Trabajos que requieren aislamiento, bloqueo y etiquetado y no contempladas en otros permisos (trabajos en satélites, acueductos, oleoductos). Trabajos en tanques que no requieran la confección de permiso en espacios confinados. Trabajos de izajes de equipos y materiales en baterías, plantas u otras instalaciones de servicios fuera del área clasificada. |
|
|
Caliente TareasQue puedan producir una fuente de calor( una llama, chispa u otra fuente de ignición) capaz de encender vapores inflamables, gases o polvo y combustibles sólidos, papeles, en las siguientes instalaciones: Centro de tratamiento o almacenaje y baterías. Oleoductos y/o colectores, acueductos y/o satélites de agua de recuperación. Instalaciones de gas: cañerías de conducción de pozo productor de gas, gasoductos trocal, compreso o planta reguladora de gas, calentadores. |
|||
|
Planificación de las tareas / medidas de control |
Asegurar el aislamiento de energía de la instalación a intervenir. Evaluar lña colocación de pantallas protectores donde pudiera existir potencial de incendio o explosión, por la proyección de partículas, llama de arco eléctrico, etc.8tareas cercanas a suelo vegetal seco). Se debe determinar si existe presencia de gases inflamables y atmosfera explosiva haciendo uso de detector correspondiente. Notificar al supervisor si sospecha la presencia de gas, si advierte material combustible o toxico cerca del área de trabajo. |
||
Exposición
En todos los procesos de diversas áreas operativas hay presencia de productos químicos propio de la extracción de Hidrocarburo.

Figura 20. Áreas con presencia de químicos
Áreas donde la persona tiene conocimiento de la presencia de productos químicos.


Figura 21. Exposiciones a peligros
Peligros que cree la persona que se encuentra expuesto cotidianamente en los puestos de trabajo.


Figura 22. Exposición diaria a peligros
Peligros que están expuesto diariamente en la actividad que realiza el operativo en los puestos de trabajo realizando las diferentes tareas.

Figura 23. Exposición química
|
Tabla 2. Nivel de conocimiento de los peligros y exposiciones al manipular productos químicos |
|
|
Inhalación de gases provenientes de la descomposición de materias orgánicas. |
Combustibles fósiles provienen de organismos vivos. resultado de la transformación de la materia orgánica, por acción bacteriana, en un comienzo, y luego por las transformaciones debidas al incremento de la temperatura por enterramiento junto con los sedimentos, en las Cuencas Sedimentarias. Gases de la extracción del petróleo crudo, azufre, ácido sulfhídrico H2S. |
|
Manipulación de productos químicos. |
Petróleo crudo y sus derivados, ejemplo: kerosene, agua, aceites pesados, parafinas y asfaltos. Químicos lubricantes para petróleo. |
|
Inhalación de polvos químicos. |
Hollín es el resultado de la combustión incompleta de los hidrocarburos. Ejemplo: chimeneas. |
|
Otros. |
Partículas en suspensión sólidas y líquidas que se encuentran suspendidas en el aire, mezclas complejas que contienen, entre otras cosas, polvo, polen, hollín, humo y pequeñas gotas liquidas. |

Figura 24. Características del H2S
El H2S puede percibirse aún en concentraciones bajas, presenta características particulares.


Figura 25. Tareas con más exposición a químicos
En el desarrollo de estos trabajos se realizan diversas tareas y en condiciones ambientales diferentes.
El fluido que producen los pozos, tanto gas, petróleo y agua, llegan por líneas de conducción para ingresar en la batería.
Diagrama de flujo control de proceso

Figura 26. Diagrama de flujo control de proceso

Figura 27. Efectos donde se ha presentado una exposición
Síntomas asociados a la presencia de H2S.

Figura 28. Fuentes de emisión del H2S
El ácido sulfhídrico ocurre en forma natural y como producto de actividades humanas.

Figura 29. Afección del H2S a los metales
Todas las pequeñas concentraciones de H2S pueden o llegan a acelerar fuertemente la corrosión de los metales.

Figura 30. Detector de Gas
El H2S es altamente inflamable, explosivo y extremadamente tóxico. Para supervisar con precisión todas las áreas en las que este gas puede representar un riesgo hay diversos detectores de gases para detectar H2S, incluidos los detectores personales multigás, monitores de un solo gas.

Figura 31. Lugares donde se encuentra H2S
El H2S ocurre naturalmente en el petróleo crudo, gas natural, gases volcánicos y manantiales de aguas termales. También puede producirse como resultado de la degradación bacteriana de materia orgánica.

Figura 32. Materiales de cañería que no se corroe con H2S ácido Sulfhídrico
Documentación
Para realizar en las diferentes áreas, procesos el trabajo en yacimientos se debe cumplir una serie de documentación, encuadrados a las leyes, decretos, resoluciones, normas, procedimientos de trabajo operativos y permisos de trabajos firmados y habilitados para realizar las tareas.

Figura 33. Casificaciones y conocimientos de documentos
Para la actividad que realizan existe documento que establecen las normas de seguridad, para efectuar dichas actividades con seguridad.

Figura 34. Documentación para manejos de químicos
La empresa y operados poseen documento que establezcan e indiquen las actividades que van realizar para manejo de químicos, se observa la falta de conocimiento, capacitación al personal operativo.
Se adjunta como anexo análisis de riesgo de diferentes tareas, Hojas de seguridad y Procedimientos Operativos.

Figura 35. Documentación accesible
El personal operativo tiene acceso a la documentación habilitante para realizar los trabajos, procedimientos operativos análisis de riesgos, hojas de seguridad y permiso de trabajos.

Figura 36. Capacitaciones al personal
Con los datos obtenidos en las encuestas, se observa los temas de capacitaciones que el personal operativo recibió en campo, salas de reuniones o en comedores, que están expuestos cotidianamente en sus actividades.

Figura 37. Permisos de trabajos
Los permisos de trabajos deben estar firmados con personal del autorizante, personal de área y ejecutante de la tarea.

Figura 38. Como actuar
Ante contacto con productos químicos deben proceder como actuar como indica hoja de seguridad del producto SGA. Post actuación primera in situ se procede a realizar activación de rol.

Figura 39. Roles de emergencia
Cada operadora y empresa tienen sus roles de emergencia los cuales se aplican ante cualquier evento, se aplican las dos sea cual fuera el evento.
Relación a Elemento de Protección Personal y Capacitación
Dependiendo de la exposición, la cantidad de gas en el aire y el tipo de trabajo, los empleados tienen obligación de utilizar diferentes niveles de EPP.


Figura 40. Elementos de protección personal
Las empresas le entregan los elementos de protección personal adecuados para las tareas, por medio de una planificación de trabajos y análisis de riesgos.

Figura 41. Elementos de protección personal para trabajos con químicos
Se observa que el personal no tiene conocimiento de los EPP adecuados para las tareas, los supervisores, mandos medios realizan la gestión para que todos los trabajos que se realizan y manipulan productos químicos se utilizan los EPP adecuados.
Elementos de protección personal (EPP) para las diferentes exposiciones
Corresponden a cualquier equipo, aparato o dispositivo especialmente diseñado y fabricado para resguardar al cuerpo de cualquier daño provocado por accidentes del trabajo o enfermedades profesionales, estos deben ser brindados post análisis del trabajo o trabajos planificados a realizar. Se adjuntan como anexo las características y/o hoja de datos de los mismos.

Figura 42. Matriz de Selección de EPP para Diferentes Riesgos Laborales
DISCUSIÓN
En este manuscrito científico deseó exhibir las condiciones laborales de 3 (tres) Empresas que trabajan en 3 (tres) Yacimientos Petroleros que se encuentran en la Provincia de Chubut, Ciudad Comodoro Rivadavia, los peligros que están expuestos los trabajadores en diferentes áreas, sectores y a la exposición al Gas H2S Sulfhídrico de Hidrogeno o Gas Sulfhídrico en los trabajos que realizan en las profesión.(23,24,25)
Al no encontrar información en las fuentes de la SRT con respecto a los riesgos y peligros en la actividad petrolera en cuando a las exposiciones al H2S, intoxicaciones, enfermedades profesionales, siniestralidades y/ o fatalidades en las diferentes actividades en yacimientos de la República Argentina y tampoco información de estadísticas oficiales publicadas se analizó sólo las respuestas de los participantes de la encuesta, comparando el nivel de conocimiento de los peligros personal, con la ocurrencia de situaciones de exposición al H2S.(26,27,28)
Desde el sistema de salud manifiestan considerablemente el peligro que los trabajadores están expuestos en los trabajos con presencia de gas sulfhídrico, este es extremadamente tóxico y causante de una gran cantidad de accidentes, no sólo en áreas de trabajos abiertos, sino también en áreas de acumulación natural.(29,30,31) Es por ello que es necesario contar con sistemas de monitoreo de atmósferas, detectores de gases portátiles, fijos e inalámbricos y además de equipos de respiración (respiración autónoma, mascara, cámaras con cartuchos y suministro de aire), que protejan al trabajador cuando sea necesario en el trabajo.(29,30,31)
De acuerdo con los riesgos y el manejo tanto operativo como de desecho o control del H2S que se tenga en las instalaciones, es posible que ocurra alguna situación adversa, explosiones, incendio de manera descontrolada, derrames, contaminación al medio ambiente.(32,33,34) Por lo que es importante tomar en cuenta que en cualquier análisis de riesgo se contemplan los peores escenarios posibles y las medidas de protección con las que se cuentan.(35,36,37) Esto crea una logística no sólo en las medidas de seguridad, sino también de las medidas de reacción para estos escenarios, ya que con un material como el de H2S, que no sólo es tóxico sino además inflamable y explosivo, hay que correr los menores riesgos posibles.(38,39,40)
La instalación de equipo especializado, es vital para mitigar o solventar posibles escenarios en una situación de emergencia fuera de control de los cuerpos de seguridad de la instalación, Equipos de Respiración Autónoma ERA, Aparatos de respiración autónoma, (SCBA por sus siglas en inglés Self Contained Breathing Apparatus), o ERA (Equipo de Respiración Autónoma) diseñados y desarrollados para suministrar aire respirable en atmósferas inmediatamente peligrosas para la salud y la vida.(41,42)
Durante la fuga el H2S podría mezclarse con agua o con otros elementos líquidos y hacerse soluble lo que provoca la reacción para crear elementos líquidos tóxicos, que al igual que en altas concentraciones se vuelve muy peligroso, por lo que se requiere protección corporal para realizar contenciones al derrame y evitar que éste llegue a otras partes operativas.(43,44,45)
Pero también hay que contemplar que en estas concentraciones el H2S podría provocar un incendio descontrolado o, en el peor caso, una explosión repentina y violenta. Valdría la pena contemplar medidas más drásticas, en caso de incendio y al ser un elemento con punto de auto ignición la quema de este gas podría tardar varias horas: un equipo contra incendio típico con duración de 60 minutos podría resultar insuficiente. En este caso un equipo de circuito cerrado podría ser una opción, ya que estos equipos brindan aire respirable por más de 4 horas.(46,47)
Para el personal que se encuentra dentro de una instalación confinada como una plataforma y en donde es imposible huir y que además tienen que esperar a que lleguen los cuerpos de emergencia, deben de resguardarse de un incendio o una explosión en espacios especialmente diseñados que soporten las condiciones extremas y que además brinden soporte de vida hasta que el personal de evacuación ingrese a la plataforma.(48,49,50)

Figura 43. Operario saliendo de un recinto confinado con protección respiratoria
Al contar con el respaldo de equipos de seguridad de uso diario o soluciones especializadas, sino además con entrenamiento y capacitación a su personal para resguardar lo más importante, su vida.(51,52)
Las empresas para realizar las actividades se encuadran y deben cumplir con los sistemas de gestión de las operadoras las cuales le brindan las condiciones de trabajo requeridas en las operaciones, los permisos de trabajos y habilitaciones, garantizando el cumplimiento de procedimientos de con el fin de mantener la seguridad de las operaciones e instalaciones y la integridad física.(53,54,55)
A raíz del análisis de los puestos de trabajos y las ejecuciones de las tareas se corroboro la falta de información, capacitación que maneja el personal operativo y mandos medios con respecto:(56,57,58)
· Redacción de los permisos de trabajos para realizar las tareas, esto afecta tanto al solicitante y habilitante del trabajo (personal de operadora) y al ejecutante (encargado de la cuadrilla que firma el PT).
· La presencia de H2S en las áreas, sectores de trabajo donde las tareas son frecuentes y diarias, ya sea en los procesos de producción o en obras civiles y piping.
· La ausencia de detectores de gases atmosféricos en los frentes de trabajo especialmente en las áreas clasificadas ya sea por falta de equipos o por desconocimiento de que deben realizar las mediciones atmosféricas. El efecto de los gases tóxicos, ambiente atmosférico donde un individuo puede estar dependen del tiempo que se esté expuesto al gas como de la concentración del mismo, se generan efectos adversos en el organismo, irrita los tejidos blandos del cuerpo, como los ojos, la nariz, la garganta y los pulmones. Las concentraciones altas amortiguan rápidamente el sentido del olfato y la exposición continua puede provocar ataques de asma, dificultad respiratoria, pérdida del conocimiento y muerte.
· La exposición que tiene el personal diariamente en las diferentes áreas es alta ya que todas las tareas que se realizan en yacimientos la presencia de H2S por venteo de cualquier instalación por conducir hidrocarburo. Se adjunta como anexo protocolo de medición de gases que entrega la operadora para habilitar las tareas en áreas clasificadas como plantas o baterías.
También se observa la presencia del análisis de riesgos de las tareas en los frentes de trabajo con el permiso correspondiente, al charla y realizar cuestionario con la cuadrilla indican la falta de conocimiento del análisis de riesgo y como leerlo, los pasos, peligros, severidad, probabilidad y contramedidas a tomar.(59,60,61)
No se encuentran los procedimientos operativos de todas las tareas en las e empresas que se realizó encuesta, como así también las hojas de seguridad no están disponibles,(62,63,64) cabe destacar que el personal operativo manifiesta que no tiene la documentación de manera física, la cual deben pedírsela al supervisor y él se las brinda.(65,66)
Las Políticas Empresariales y de las Operadoras son corporativas de aplicación obligatorias y su incumplimiento trae sensaciones a todo el personal.(67,68,69)
Los Elementos de Protección Personal (EPP) que brindan las empresas son los adecuados para las tareas que el personal realiza, se observa en campo que el personal operativo no los cuida, ni realiza mantenimiento ni lo tiene en un lugar sin exposiciones a deteriorarse. Es necesario realizar investigaciones, visitas de campo, auditorias de frentes de trabajo para conversar más con el personal operativo ya que es evidente la falta de capacitación, concientización, planificación, identificación peligros, evaluación de los riesgos, entornos de trabajo y determinar las medidas de seguridad para evitar accidentes. Se adjuntan registros como anexos auditorias y visitas de campo.(70)
Cabe destacar que es recomendable efectuar capacitaciones, entrenamiento, a todo los trabajadores sobre característica, propiedades y riesgos del h2s, informar sobre el uso de equipos de protección personal, primeros auxilios y planes de emergencia y salvataje, aplicando normas y procedimientos de trabajo seguros cumpliendo las disposiciones legales existentes al respecto y no menos importante las prácticas de primeros auxilios y simulacros de rescate y evacuación de heridos o intoxicados.
La recaudación de los datos que existen hasta el momento es fundamental a la hora de evaluar riesgos de una actividad que se lleva haciendo durante años, de diversas maneras, a diversas escalas y no se le da la importancia que se debe ante los trabajos, sin embargo, la totalidad de la evaluación de exposición a H2S aún está lejos de poder llegarse a soluciones, este trabajo es una contribución a ello y futuras investigaciones y no única medida definitiva a erradicar el riesgo, en los anexos Permisos de Trabajo establecen las condiciones obligatorias mínimas para el control de trabajos con riesgos significativos mediante la instrumentación de documentos escritos y una metodología denominada para mejorar la gestión de la Seguridad Operacional que notoriamente es lo que no se ve reflejado en la práctica.
CONCLUSIONES
En conclusión, las condiciones a las que están expuestos los trabajadores en la industria petrolera no son las adecuadas. La presencia de H₂S, las características del ambiente atmosférico, los entornos laborales, los peligros inherentes, los riesgos y la falta de medidas preventivas o de mitigación, así como la escasa capacitación del personal operativo en diversas áreas, representan serias deficiencias. Además, los equipos de medición de gases atmosféricos y sus respectivas certificaciones no se encuentran claramente sistematizados en los procedimientos operativos de las empresas.
Este trabajo final ha resultado sumamente enriquecedor, ya que permitió comprender diversas realidades de la industria petrolera e integrar múltiples áreas de conocimiento, todas ellas vinculadas a distintas prácticas y labores dentro del sector. A su vez, fue posible abordar contenidos técnicos de manera directa, en torno a un tema de gran relevancia y actualidad como lo son los análisis de riesgos en los frentes de trabajo, involucrando activamente a todos los integrantes de las cuadrillas.
Finalmente, es alentador pensar que este trabajo podrá servir como aporte para futuras investigaciones académicas, la elaboración de protocolos, o al menos como una base para profundizar en un tema poco conocido, pero que ha sido objeto de estudio en distintas partes del mundo desde hace tiempo.
REFERENCIAS BIBLIOGRÁFICAS
1. Ley N° 17.319. Ley de Hidrocarburos. 1967. http://servicios.infoleg.gob.ar/infolegInternet/anexos/15000-19999/16078/norma.htm
2. Ley N° 19.587. Ley de Higiene y Seguridad en el Trabajo. 1972. http://servicios.infoleg.gob.ar/infolegInternet/anexos/15000-19999/17612/norma.htm
3. Ley N° 24.557. Ley de Riesgos del Trabajo. 1995. http://servicios.infoleg.gob.ar/infolegInternet/anexos/25000-29999/27971/texact.htm
4. Ley N° 25.675. Ley General del Ambiente. 2002. http://www.opds.gba.gov.ar/sites/default/files/LEY%2025675.pdf
5. Ley N° 26.773. Régimen de Ordenamiento de la Reparación de los Daños Derivados de los Accidentes de Trabajo y Enfermedades Profesionales. 2012. http://servicios.infoleg.gob.ar/infolegInternet/anexos/200000-204999/203798/norma.htm
6. Decreto N° 658. Riesgos del Trabajo. 1996. http://servicios.infoleg.gob.ar/infolegInternet/anexos/35000-39999/37572/texact.htm
7. Decreto N° 911. Higiene y Seguridad en el Trabajo. Reglamento para la Industria de la Construcción. 1996. http://servicios.infoleg.gob.ar/infolegInternet/anexos/35000-39999/38568/texact.htm
8. Decreto N° 1338. Servicios de Medicina, Higiene y Seguridad en el Trabajo. 1996. http://www.siape.gba.gov.ar/rrhh/images/nacionales/DECRETO%201338%201996.pdf
9. Decreto N° 658. Relevamiento de Agentes de Riesgo y Enfermedades Profesionales. Declaración Jurada ART. 1996. http://servicios.infoleg.gob.ar/infolegInternet/anexos/35000-39999/37572/texact.htm
10. Decreto N° 658. Listado de Enfermedades Profesionales. 1996. https://www.argentina.gob.ar/normativa/nacional/decreto-658-1996-37572/normas-modifican
11. Decreto N° 49. Listado de Enfermedades Profesionales. 2014. http://servicios.infoleg.gob.ar/infolegInternet/anexos/225000-229999/225309/norma.htm
12. Resolución SRT N° 463/2002. Listado de Sustancias y Agentes Cancerígenos. http://upcndigital.org/~legislacion/CYMAT/Riesgos%20de%20Trabajo/2009-Resolucion%20SRT%200463_textact.pdf
13. Resolución SRT N° 743/2003. Sustancias Químicas a Declarar. http://servicios.infoleg.gob.ar/infolegInternet/anexos/90000-94999/90519/norma.htm
14. Resolución SRT N° 299/2011. Registro y Provisión de Elementos de Protección Personal (EPP). http://servicios.infoleg.gob.ar/infolegInternet/anexos/180000-184999/180669/norma.htm
15. Resolución SRT N° 441/1991. Contaminantes Químicos. https://www.argentina.gob.ar/normativa/nacional/resoluci%C3%B3n-441-1991-24543
16. Resolución SRT N° 953/2010. Espacios Confinados. https://www.ecofield.net/Legales/LRT/res953-10_SRT.htm
17. Resolución SRT N° 415/2002. Listado de Sustancias y Agentes Cancerígenos. http://servicios.infoleg.gob.ar/infolegInternet/anexos/75000-79999/79053/texact.htm
18. Resolución N° 310/03. Modificación del listado mezclas y explosivos. http://servicios.infoleg.gob.ar/infolegInternet/anexos/75000-79999/79053/texact.htm
19. Resolución N° 37/2010. Exámenes médicos. https://www.argentina.gob.ar/normativa/nacional/resoluci%C3%B3n-37-2010-163171
20. Resolución N° 23/2009. Condiciones básicas de higiene y seguridad. https://www.argentina.gob.ar/normativa/nacional/decreto-231-2009-151988/normas-modifican
21. Resolución N° 801/2015. Sistema Globalmente Armonizado de clasificación y etiquetado de productos químicos (SGA/GHS). http://servicios.infoleg.gob.ar/infolegInternet/verNorma.do?id=245850
22. Resolución N° 861/2015. Mediciones de contaminantes químicos. https://www.srt.gob.ar/wp-content/uploads/2014/03/images_pdf_Resolucion_861-15_Contaminantes_quimicos.pdf
23. Resolución N° 861/2015. Protocolo para medición de contaminantes químicos en el aire de un ambiente de trabajo. https://www.srt.gob.ar/wp-content/uploads/2014/03/images_pdf_Resolucion_861-15_Contaminantes_quimicos.pdf
24. Norma IRAM 3625. Espacios confinados. 2003. https://higieneyseguridadlaboralcvs.files.wordpress.com/2012/07/iram3625-espacios-confinados.pdf
25. Norma IRAM 3801. Sistemas de gestión de seguridad y salud ocupacional. 1998. https://www.magyp.gob.ar/sitio/areas/d_recursos_humanos/concurso/normativa/_archivos//000007_Otras%20normativas%20especificas/000000_NORMA%20IRAM%203800.pdf
26. Norma ISO 45001. Sistemas de gestión de salud y seguridad en el trabajo. Reemplaza a OHSAS 18001. 2018. https://www.diba.cat/documents/467843/172263104/GUIA_IMPLEMENTACION_ISO45001.pdf
27. Norma ISO 9001. Sistemas de gestión de la calidad. 2015. http://www.itvalledelguadiana.edu.mx/ftp/Normas%20ISO/ISO%209001-2015%20Sistemas%20de%20Gesti%C3%B3n%20de%20la%20Calidad.pdf
28. Norma ISO 14001. Sistemas de gestión medioambiental. 1996. http://www.itvalledelguadiana.edu.mx/ftp/Normas%20ISO/ISO%2014001-2015%20Sistemas%20de%20Gestion%20Mabiental.pdf
29. Ministerio de Desarrollo Productivo. Hidrocarburos. https://www.argentina.gob.ar/eiti/hidrocarburos
30. Ministerio de Empleo y Seguridad Social. Convenio Colectivo de Trabajo. Sindicato del Petróleo y Gas Privado del Chubut. 2010. https://petroleroschubut.com/pdf/1_convenio_colectivo.pdf
31. Superintendencia de Riesgos del Trabajo (SRT). Manual de Buenas Prácticas – Industria Petrolera. 2016. https://www.srt.gob.ar/wp-content/uploads/2016/08/MBP-.-Industria-Petrolera.pdf
32. Agencia para el Registro de Sustancias Tóxicas y Enfermedades. https://www.atsdr.cdc.gov/es/phs/es_phs114.html
33. Gobierno de Navarra. Manuales de buenas prácticas ambientales: Soldadura. https://www.uis.edu.co/webUIS/es/gestionAmbiental/documentos/manuales/Buenas%20Practicas%20Ambientales%20-%20Soldadura.pdf
34. Instituto Argentino del Petróleo y del Gas (IAPG). Aspectos técnicos, económicos y estratégicos de la exploración y producción de hidrocarburos. 2012. https://www.iapg.org.ar/web_iapg/publicaciones/libros-de-interes-general/exploracion-y-produccion-de-hidrocarburos
35. Asociación Chilena de Seguridad (ACHS). Medidas preventivas ante emanaciones de ácido sulfhídrico. https://www.achs.cl/portal/trabajadores/Capacitacion/CentrodeFichas/Documents_pdf/medidas-preventivas-ante-emanaciones-de-acido-sulfhidrico.pdf
36. Wang R. La función dual del sulfuro de hidrógeno. Investigación y Ciencia. 2010. https://es.wikipedia.org/wiki/%C3%81cido_sulfh%C3%ADdrico
37. Air Liquide. Hoja de datos de seguridad del producto: Sulfuro de hidrógeno. 2014. https://industrial.airliquide.com.mx/sites/industry_mx/files/sds/2018/07/12/alm-022_sulfuro_de_hidrogeno_rev_03.pdf
38. YPF. Hoja de datos de seguridad del producto: Mezcla propano – propileno. 2013. https://edicion.ypf.com/productosyservicios/Descargas/FDS-Propano-Propileno.pdf
39. Mercuria. Hoja de datos de seguridad del producto: Petróleo crudo. 2017. https://www.mercuria.com/sites/default/files/ES_SDS_Crude_SDS%20SGS%20GHS%20%28Reach%20ANNEXII%29_2015211_MERCURIA-370_0.pdf
40. Libus. Elemento de protección personal: Casco. https://www.libus.com.ar/casco-libus-proseg--det--890011
41. Libus. Máscaras respiratorias. https://www.libus.com.ar/mascaras-de-proteccion-respiratoria-proteccion-respiratoria-libus--prod--5
42. Libus. Protección ocular. https://www.libus.com.ar/protecciOn-ocular--prod--3
43. Sebastián Boris. Elemento de protección personal: Proveedor. https://www.sebastianboris.com.ar/
44. Boris Hnos. Elemento de protección personal: Proveedor. https://www.borishnos.com.ar/inicio
45. Drägerwerk. H2S: Un reto creciente en la industria del gas y el petróleo. 2010. https://www.draeger.com/library/content/h2s-e-book-9072501-es.pdf
46. Petroquimex. H2S en la industria petrolera. 2014. https://petroquimex.com/h2s-en-la-industria-petrolera/
47. Vidal S. Procedimiento corporativo: permisos de trabajos. C-S-PO-01. 2018.
48. Díaz J. Listado de trabajos que requieren la emisión de un PT. C-S-RO 01.00.01. 2016.
49. Rodríguez S. Instructivo permiso de trabajo en caliente y frío. C-S-ITO 01.01. 2019.
50. Rojas J. Instructivo permiso de trabajo en espacios confinados. C-S-ITO 01.02. 2019.
51. Quesada I. Instructivo permiso de trabajo en altura. C-S-ITO 01.03. 2019.
52. Ulloa G. Instructivo permiso de trabajos en instalaciones eléctricas. C-S-ITO 01.04. 2018.
53. Díaz J. Instructivo permiso de trabajos de excavación. C-S-ITO 01.05. 2018.
54. Cantasano P. Sistema de permisos de trabajo. YFP-505-NO032-LG-AR. 2012.
55. YPF. Permiso de trabajo frío-caliente. RG01.
56. YPF. Permiso de trabajo en excavación. RG02.
57. YPF. Permiso de trabajo en altura. RG03.
58. YPF. Permiso de trabajo eléctrico. RG04.
59. YPF. Permiso de trabajo para espacios confinados. RG05.
60. YPF. Pruebas adicionales de gas. RG06.
61. YPF. Bloqueo mecánico y etiquetado. RG07.
62. Formica D. Procedimiento estándar: sistema de permisos de trabajos. PAE-PE01. 2011.
63. PAE. Formulario: permiso de trabajo frío/caliente.
64. PAE. Certificado: trabajo en altura.
65. PAE. Certificado: confirmación de aislamiento de energía.
66. PAE. Certificado: espacios confinados.
67. PAE. Certificado: excavaciones.
68. PAE. Registro: medición de atmósfera.
69. Martínez P. Ingeniería en producción petróleo y gas. Comodoro Rivadavia, Chubut: Universidad Nacional de la Patagonia San Juan Bosco; 2012.
70. Marchioro Klimczyk E. Tecnicatura en petróleo y gas. Comodoro Rivadavia, Chubut: Instituto Superior de Educación Tecnológica CeRET-Chubut; 2016.
FINANCIACIÓN
Ninguna.
CONFLICTO DE INTERESES
Los autores declaran que no existe conflicto de intereses.
CONTRIBUCIÓN DE AUTORÍA
Conceptualización: Agostina Constansa Rodriguez, Hernan Carlos Hoyos.
Curación de datos: Agostina Constansa Rodriguez, Hernan Carlos Hoyos.
Análisis formal: Agostina Constansa Rodriguez, Hernan Carlos Hoyos.
Investigación: Agostina Constansa Rodriguez, Hernan Carlos Hoyos.
Metodología: Agostina Constansa Rodriguez, Hernan Carlos Hoyos.
Administración del proyecto: Agostina Constansa Rodriguez, Hernan Carlos Hoyos.
Recursos: Agostina Constansa Rodriguez, Hernan Carlos Hoyos.
Software: Agostina Constansa Rodriguez, Hernan Carlos Hoyos.
Supervisión: Agostina Constansa Rodriguez, Hernan Carlos Hoyos.
Validación: Agostina Constansa Rodriguez, Hernan Carlos Hoyos.
Visualización: Agostina Constansa Rodriguez, Hernan Carlos Hoyos.
Redacción – borrador original: Agostina Constansa Rodriguez, Hernan Carlos Hoyos.
Redacción – revisión y edición: Agostina Constansa Rodriguez, Hernan Carlos Hoyos.